Select a Size
About This Item
Product Name
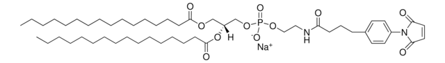
16:0 MPB PE, Avanti Research™ - A Croda Brand 870013C
assay
>99% (TLC)
form
liquid
packaging
pkg of 1 × 2.5 mL (870013C-25mg)
manufacturer/tradename
Avanti Research™ - A Croda Brand 870013C
concentration
10 mg/mL (870013C-25mg)
shipped in
dry ice
storage temp.
−20°C
SMILES string
[H][C@@](COP([O-])(OCCNC(CCCC(C=C1)=CC=C1N(C(C=C2)=O)C2=O)=O)=O)(OC(CCCCCCCCCCCCCCC)=O)COC(CCCCCCCCCCCCCCC)=O.[Na+]
InChI
1S/C51H85N2O11P.Na/c1-3-5-7-9-11-13-15-17-19-21-23-25-27-32-50(57)61-42-46(64-51(58)33-28-26-24-22-20-18-16-14-12-10-8-6-4-2)43-63-65(59,60)62-41-40-52-47(54)31-29-30-44-34-36-45(37-35-44)53-48(55)38-39-49(53)56;/h34-39,46H,3-33,40-43H2,1-2H3,(H,52,54)(H,59,60);/q;+1/p-1/t46-;/m1./s1
InChI key
REKODAHLWDSEBQ-FYQWNKFKSA-M
General description
Application
- for covalent coupling of monoclonal antibody
- in the lipidation of C-terminal cysteine thiol of ligand binding site-1 (LBS-1)
- to conjugate with peptides for incorporation into liposomes, which were then used in the surface plasmon resonance (SPR)-based binding experiments
Packaging
Legal Information
Still not finding the right product?
Explore all of our products under 16:0 MPB PE
signalword
Danger
Hazard Classifications
Acute Tox. 3 Inhalation - Acute Tox. 4 Oral - Carc. 2 - Eye Irrit. 2 - Repr. 2 - Skin Irrit. 2 - STOT RE 1 - STOT SE 3
target_organs
Central nervous system
Storage Class
6.1D - Non-combustible acute toxic Cat.3 / toxic hazardous materials or hazardous materials causing chronic effects
wgk
WGK 3
flash_point_f
does not flash
flash_point_c
does not flash
Regulatory Information
This item has
Choose from one of the most recent versions:
Already Own This Product?
Find documentation for the products that you have recently purchased in the Document Library.

