Skip to Content
Merck
CN

12019

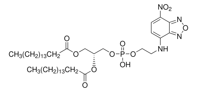
1,2-Dipalmitoyl-sn-glycero-3-phosphoethanolamine, 7-nitrobenzofurazan-labeled

ammonium salt, ≥98.0% (TLC)

Synonym(s):

2(R),3-dipalmitoylglycero-1 -phospho-N-(7-nitro-2,1,3-benzoxadiazo1-4-y1)ethanolamine, L-β,γ-Dipalmitoyl-α-cephaline, 7-nitrobenzofurazan-labeled, N-(7-Nitro-benzofurazan-4-yl)-1,2-dipalmitoyl-sn-glycero-3-phosphoethanolamine, N-(7-Nitrobenzofurazan-4-yl)-1,2-dipalmitoyl-sn-glycero-3-phosphoethanolamine, N-NBD-Dipalmitoyl-L-α-Phosphatidylethanolamine, NBD-PE, Phosphatidylethanolamine 16:0, NBD-labeled

Sign In to View Organizational & Contract Pricing.

Select a Size


About This Item

Empirical Formula (Hill Notation):
C43H75N4O11P
CAS Number:
Molecular Weight:
855.05
UNSPSC Code:
12352200
PubChem Substance ID:
MDL number:
Technical Service
Need help? Our team of experienced scientists is here for you.
Let Us Assist
Technical Service
Need help? Our team of experienced scientists is here for you.
Let Us Assist

InChI

1S/C43H75N4O11P/c1-3-5-7-9-11-13-15-17-19-21-23-25-27-29-40(48)54-35-37(57-41(49)30-28-26-24-22-20-18-16-14-12-10-8-6-4-2)36-56-59(52,53)55-34-33-44-38-31-32-39(47(50)51)43-42(38)45-58-46-43/h31-32,37,44H,3-30,33-36H2,1-2H3,(H,52,53)/t37-/m1/s1

SMILES string

O=C(CCCCCCCCCCCCCCC)OC[C@@H](OC(CCCCCCCCCCCCCCC)=O)COP(OCCNC1=CC=C([N+]([O-])=O)C2=NON=C12)(O)=O

InChI key

ODWMPKRLTCWGFP-DIPNUNPCSA-N

assay

≥98.0% (TLC)

fluorescence

λex 459 nm; λem 528 nm in methanol

suitability

suitable for fluorescence

storage temp.

−20°C

Application

Phosphatidylethanolamine 16:0 can be utilized as a lipid fluorescent probe to study the morphological stability of lipid membranes (to surfactants and ethanol) by monitoring its fluorescence.

Regulatory Information

新产品
This item has

Choose from one of the most recent versions:

Certificates of Analysis (COA)

Lot/Batch Number

It looks like we've run into a problem, but you can still download Certificates of Analysis from our Documents section.

If you need assistance, please contact Customer Support

Already Own This Product?

Find documentation for the products that you have recently purchased in the Document Library.

Visit the Document Library

Md Mizanur Rahman Moghal et al.
Chemistry and physics of lipids, 212, 120-129 (2018-02-10)
Entry of cell-penetrating peptides (CPPs) into living cells by translocating across plasma membranes is an important physiological phenomenon. To elucidate the mechanism of the translocation of CPPs across lipid bilayers, it is essential to reveal its elementary processes. For this
Tetsuo Mioka et al.
Molecular biology of the cell, 29(10), 1203-1218 (2018-03-16)
Phospholipid flippase (type 4 P-type ATPase) plays a major role in the generation of phospholipid asymmetry in eukaryotic cell membranes. Loss of Lem3p-Dnf1/2p flippases leads to the exposure of phosphatidylserine (PS) and phosphatidylethanolamine (PE) on the cell surface in yeast
SooHyun Park et al.
PloS one, 13(6), e0199279-e0199279 (2018-06-19)
This paper describes the preparation of giant unilamellar vesicles with reconstituted hamster P-glycoprotein (Pgp, ABCB1) for studying the transport activity of this efflux pump in individual liposomes using optical microscopy. Pgp, a member of ABC (ATP-binding cassette) transporter family, is
Agata Nawrotek et al.
Nature chemical biology, 15(4), 358-366 (2019-02-12)
Peripheral membrane proteins orchestrate many physiological and pathological processes, making regulation of their activities by small molecules highly desirable. However, they are often refractory to classical competitive inhibition. Here, we demonstrate that potent and selective inhibition of peripheral membrane proteins
Tianshu Li et al.
Nanomedicine : nanotechnology, biology, and medicine, 13(3), 1219-1227 (2016-12-15)
1,5-Dihexadecyl N,N-diglutamyl-lysyl-L-glutamate (GGLG) liposomes were previously developed to enhance drug delivery efficiency in tumor cells owing to its pH-responsive properties. Herein, we report the modification of GGLG liposomes by conjugating a Fab' fragment of an ErbB2 antibody to the terminus

Our team of scientists has experience in all areas of research including Life Science, Material Science, Chemical Synthesis, Chromatography, Analytical and many others.

Contact Technical Service