Sign In to View Organizational & Contract Pricing.
Select a Size
Change View
About This Item
Empirical Formula (Hill Notation):
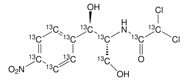
13C11H12Cl2N2O5
Molecular Weight:
334.05
UNSPSC Code:
41116107
EC Number:
200-835-2
grade
analytical standard
Quality Level
product line
VETRANAL®
shelf life
limited shelf life, expiry date on the label
concentration
25 μg/mL in acetonitrile
technique(s)
HPLC: suitable, gas chromatography (GC): suitable
application(s)
cleaning products
cosmetics
food and beverages
personal care
format
single component solution
mass shift
M+11
storage temp.
−20°C
SMILES string
O[13CH2][13C@H](N[13C](=O)[13CH](Cl)Cl)[13C@@H](O)[13c]1[13cH][13cH][13c]([13cH][13cH]1)[N+]([O-])=O
General description
Certan Vial
Application
Refer to the product′s Certificate of Analysis for more information on a suitable instrument technique. Contact Technical Service for further support.
Legal Information
VETRANAL is a registered trademark of Merck KGaA, Darmstadt, Germany
signalword
Danger
Hazard Classifications
Acute Tox. 4 Dermal - Acute Tox. 4 Inhalation - Acute Tox. 4 Oral - Eye Irrit. 2 - Flam. Liq. 2
Storage Class
3 - Flammable liquids
wgk
WGK 2
flash_point_f
35.6 °F - closed cup
flash_point_c
2.0 °C - closed cup
Regulatory Information
新产品
This item has
Choose from one of the most recent versions:
Already Own This Product?
Find documentation for the products that you have recently purchased in the Document Library.

