Skip to Content
Merck
CN

32971

Valnemulin

VETRANAL®, analytical standard

Sign In to View Organizational & Contract Pricing.

Select a Size


About This Item

Empirical Formula (Hill Notation):
C31H52N2O5S
CAS Number:
Molecular Weight:
564.82
UNSPSC Code:
41116107
Technical Service
Need help? Our team of experienced scientists is here for you.
Let Us Assist
Technical Service
Need help? Our team of experienced scientists is here for you.
Let Us Assist

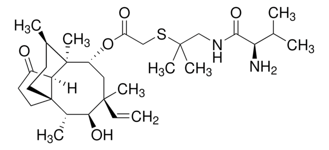
SMILES string

CC(C)[C@@H](N)C(=O)NCC(C)(C)SCC(=O)O[C@@H]1C[C@@](C)(C=C)[C@@H](O)[C@H](C)[C@@]23CC[C@@H](C)[C@]1(C)[C@@H]2C(=O)CC3

grade

analytical standard

product line

VETRANAL®

technique(s)

HPLC: suitable, gas chromatography (GC): suitable

application(s)

clinical
forensics and toxicology
pharmaceutical (small molecule)

storage temp.

2-8°C

Application

Commission Regulation (EU) No 37/2010 of 22 December 2009 on pharmacologically active substances and their classification regarding maximum residue limits in foodstuffs of animal origin

Legal Information

VETRANAL is a registered trademark of Merck KGaA, Darmstadt, Germany

Storage Class

11 - Combustible Solids

wgk

WGK 3

ppe

Eyeshields, Gloves, type N95 (US)

Regulatory Information

新产品
This item has

Choose from one of the most recent versions:

Certificates of Analysis (COA)

Lot/Batch Number

It looks like we've run into a problem, but you can still download Certificates of Analysis from our Documents section.

If you need assistance, please contact Customer Support

Already Own This Product?

Find documentation for the products that you have recently purchased in the Document Library.

Visit the Document Library

Judith Rohde et al.
Veterinary microbiology, 102(1-2), 25-32 (2004-08-04)
In Germany treatment of swine dysentery is hampered by Brachyspira hyodysenteriae strains showing elevated MIC values to the few antibiotics licensed. Therefore, susceptibility testing of clinical isolates is an important service to the swine practitioner. This study compares the established
Qiushi Huang et al.
Analytica chimica acta, 664(1), 62-67 (2010-03-17)
The depletion profile of valnemulin (VLM) was studied in healthy piglets after oral administration of a premix. Thirty pigs were given doses of 7.5 mg/kg body weight/day in the feed for 21 days. One control and five medicated piglets were
L Stipkovits et al.
Research in veterinary science, 78(3), 207-215 (2005-03-16)
Mycoplasma bovis infection was experimentally induced in groups of six young calves. A further group was uninfected and served as a control. Ten days after infection, medication with either enrofloxacin (Baytril, Bayer) or valnemulin (Econor, Novartis) was instituted via the
S M Poulsen et al.
Molecular microbiology, 41(5), 1091-1099 (2001-09-14)
The pleuromutilin antibiotic derivatives, tiamulin and valnemulin, inhibit protein synthesis by binding to the 50S ribosomal subunit of bacteria. The action and binding site of tiamulin and valnemulin was further characterized on Escherichia coli ribosomes. It was revealed that these
Comparison of valnemulin and lincomycin in the treatment of digital dermatitis by individually applied topical spray.
R A Laven et al.
The Veterinary record, 149(10), 302-303 (2001-09-26)

Our team of scientists has experience in all areas of research including Life Science, Material Science, Chemical Synthesis, Chromatography, Analytical and many others.

Contact Technical Service