Skip to Content
Merck
CN

E0886

Ebelactone B microbial

≥95% (HPLC)

Synonym(s):

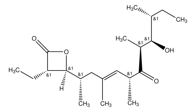
2-Ethyl-3,11-dihydroxy-4,6,8,10,12-pentamethyl-9-oxo-6-tetradecenoic acid 1,3-lactone

Sign In to View Organizational & Contract Pricing.

Select a Size


About This Item

Empirical Formula (Hill Notation):
C21H36O4
CAS Number:
Molecular Weight:
352.51
UNSPSC Code:
12352202
PubChem Substance ID:
MDL number:
Technical Service
Need help? Our team of experienced scientists is here for you.
Let Us Assist
Technical Service
Need help? Our team of experienced scientists is here for you.
Let Us Assist

assay

≥95% (HPLC)

storage temp.

2-8°C

SMILES string

[H][C@]1(OC(=O)[C@H]1CC)[C@@H](C)C\C(C)=C\[C@@H](C)C(=O)[C@@H](C)[C@H](O)[C@H](C)CC

Biochem/physiol Actions

Esterase (lipase) inhibitor. Also inhibits carboxypeptidase Y-like kininase that degrades bradykinin.
Esterase inhibitor

Storage Class

11 - Combustible Solids

wgk

WGK 3

flash_point_f

Not applicable

flash_point_c

Not applicable

ppe

Eyeshields, Gloves, type N95 (US)

Regulatory Information

新产品

This item has


Choose from one of the most recent versions:

Certificates of Analysis (COA)

Lot/Batch Number

Don't see the Right Version?

If you require a particular version, you can look up a specific certificate by the Lot or Batch number.

Already Own This Product?

Find documentation for the products that you have recently purchased in the Document Library.

Visit the Document Library

T Kajiro et al.
Analytical biochemistry, 297(1), 52-59 (2001-09-25)
Bradykinin (BK) in rat urine was determined by coupled-column HPLC with precolumn fluorogenic derivatization with a water-soluble reagent, 3-(7-fluoro-2,1,3-benzoxadiazole-4-sulfonamido)benzenesulfonic acid (m-BS-ABD-F). The derivatization of BK with m-BS-ABD-F was completed at 70 degrees C for 100 min and gave only a
Weerapong Juntachai et al.
Medical mycology, 47(5), 477-484 (2008-09-18)
Malassezia yeasts are part of the cutaneous microflora commonly found on animals and human and may sometimes cause various opportunistic skin diseases. As most of Malassezia species show lipid-dependency, lipolytic enzymes such as lipase and phospholipase are necessary for them
Susannah Lee et al.
Pest management science, 64(5), 544-555 (2008-01-31)
Quinoxyfen is a potent and effective fungicide, hitherto considered to control powdery mildew disease by perturbing signal transduction during early germling differentiation. The aim of this paper is to understand the mode of action of quinoxyfen by comparing the perception
Zhiyong Lou et al.
Protein & cell, 1(8), 760-770 (2011-01-05)
Fusarium graminearum (sexual stage: Gibberella zeae) is the causative agent of Fusarium Head Blight (FHB), which is one of the most destructive plant disease of cereals, accounting for high grain yield losses, especially for wheat and maize. Like other fungal
Attila Gácser et al.
Fungal genetics and biology : FG & B, 44(12), 1336-1341 (2007-03-30)
Candida parapsilosis is an increasingly important human pathogen. To study the interactions of C. parapsilosis with human tissues, we evaluated the effects of the CBS 604 type strain and three different clinical isolates on reconstituted human oral epithelial and epidermal

Our team of scientists has experience in all areas of research including Life Science, Material Science, Chemical Synthesis, Chromatography, Analytical and many others.

Contact Technical Service