Skip to Content
Merck
CN

A6472

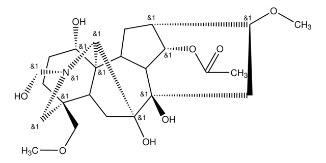
14-Acetylvirescenine from Delphinium sp.

≥99% (TLC), white, powder

Sign In to View Organizational & Contract Pricing.

Select a Size

Change View

About This Item

Empirical Formula (Hill Notation):
C25H39NO7
Molecular Weight:
465.58
UNSPSC Code:
12352200
PubChem Substance ID:
MDL number:
Technical Service
Need help? Our team of experienced scientists is here for you.
Let Us Assist

assay

≥99% (TLC)

form

powder

color

white

storage temp.

2-8°C

SMILES string

COC[C@@]12CC[C@H](O)[C@@]34C5C[C@@H]6[C@H](C[C@@](O)(C5[C@H]6OC(C)=O)[C@@](O)(CC13)C4N(CO)C2)OC

Application

14-Acetylvirescenine blocks action potential propagation at the nicotinic receptors of vegetative ganglia and neuromuscular junctions. 14-Acetylvirescenine is hypotensive with curare-like activity.

Biochem/physiol Actions

Blocks the propagation of the action potential at the nicotinic cholinoreceptors of vegetative ganglia and neuro-muscular junctions. Hypotensive and curare-like action, I.V. and orally.

Disclaimer

Protect from light.

Storage Class

11 - Combustible Solids

wgk

WGK 3

flash_point_f

Not applicable

flash_point_c

Not applicable

ppe

Eyeshields, Gloves, type N95 (US)

Regulatory Information

新产品

This item has


Choose from one of the most recent versions:

Certificates of Analysis (COA)

Lot/Batch Number

Don't see the Right Version?

If you require a particular version, you can look up a specific certificate by the Lot or Batch number.

Already Own This Product?

Find documentation for the products that you have recently purchased in the Document Library.

Visit the Document Library

Our team of scientists has experience in all areas of research including Life Science, Material Science, Chemical Synthesis, Chromatography, Analytical and many others.

Contact Technical Service