Select a Size
About This Item
assay
≥97% (HPLC)
form
solid
storage condition
under inert gas
color
yellow
solubility
DMSO: ~10 mg/mL
storage temp.
2-8°C
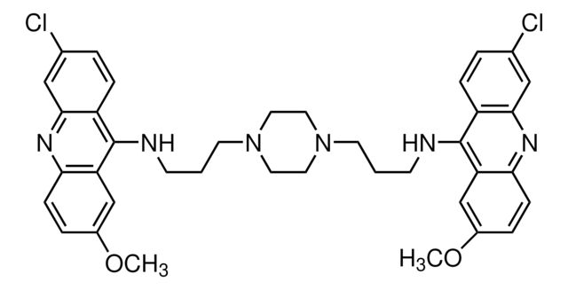
SMILES string
COc1ccc2nc3cc(Cl)ccc3c(NCCCN4CCN(CCCNc5c6ccc(Cl)cc6nc7ccc(OC)cc57)CC4)c2c1
InChI
1S/C38H40Cl2N6O2/c1-47-27-7-11-33-31(23-27)37(29-9-5-25(39)21-35(29)43-33)41-13-3-15-45-17-19-46(20-18-45)16-4-14-42-38-30-10-6-26(40)22-36(30)44-34-12-8-28(48-2)24-32(34)38/h5-12,21-24H,3-4,13-20H2,1-2H3,(H,41,43)(H,42,44)
InChI key
GUTKNTSGEOMFPZ-UHFFFAOYSA-N
Biochem/physiol Actions
signalword
Warning
hcodes
Hazard Classifications
Eye Irrit. 2 - Skin Irrit. 2 - STOT SE 3
Storage Class
11 - Combustible Solids
wgk
WGK 3
flash_point_f
Not applicable
flash_point_c
Not applicable
ppe
dust mask type N95 (US), Eyeshields, Gloves
Regulatory Information
This item has
Choose from one of the most recent versions:
Already Own This Product?
Find documentation for the products that you have recently purchased in the Document Library.
Global Trade Item Number
| SKU | GTIN |
|---|---|
| B8435-5MG | 04061832977119 |
Our team of scientists has experience in all areas of research including Life Science, Material Science, Chemical Synthesis, Chromatography, Analytical and many others.
Contact Technical Service