Skip to Content
Merck
CN

C1658

Sigma-Aldrich

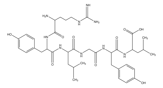
α-Casein Fragment 90-95

≥97% (HPLC)

Synonym(s):

Arg-Tyr-Leu-Gly-Tyr-Leu

Sign Into View Organizational & Contract Pricing

Select a Size


About This Item

Empirical Formula (Hill Notation):
C38H57N9O9
CAS Number:
Molecular Weight:
783.91
MDL number:
UNSPSC Code:
12352200
PubChem Substance ID:
Technical Service
Need help? Our team of experienced scientists is here for you.
Let Us Assist
Technical Service
Need help? Our team of experienced scientists is here for you.
Let Us Assist

Assay

≥97% (HPLC)

storage temp.

−20°C

SMILES string

CC(C)CC(NC(=O)C(Cc1ccc(O)cc1)NC(=O)CNC(=O)C(CC(C)C)NC(=O)C(Cc2ccc(O)cc2)NC(=O)C(N)CCCNC(N)=N)C(O)=O

InChI

1S/C38H57N9O9/c1-21(2)16-28(46-36(54)30(19-24-9-13-26(49)14-10-24)45-33(51)27(39)6-5-15-42-38(40)41)34(52)43-20-32(50)44-29(18-23-7-11-25(48)12-8-23)35(53)47-31(37(55)56)17-22(3)4/h7-14,21-22,27-31,48-49H,5-6,15-20,39H2,1-4H3,(H,43,52)(H,44,50)(H,45,51)(H,46,54)(H,47,53)(H,55,56)(H4,40,41,42)

InChI key

KWLNZVXBGCEDOO-UHFFFAOYSA-N

Storage Class Code

11 - Combustible Solids

WGK

WGK 3

Flash Point(F)

Not applicable

Flash Point(C)

Not applicable

Personal Protective Equipment

dust mask type N95 (US), Eyeshields, Gloves

Regulatory Information

新产品
This item has

Choose from one of the most recent versions:

Certificates of Analysis (COA)

Lot/Batch Number

Don't see the Right Version?

If you require a particular version, you can look up a specific certificate by the Lot or Batch number.

Already Own This Product?

Find documentation for the products that you have recently purchased in the Document Library.

Visit the Document Library

Effects of iontophoretically applied alpha-casein exorphin on CA1 hippocampal field potentials in vivo.
E K Angelopoulos et al.
Progress in clinical and biological research, 328, 339-342 (1990-01-01)

Our team of scientists has experience in all areas of research including Life Science, Material Science, Chemical Synthesis, Chromatography, Analytical and many others.

Contact Technical Service