Sign In to View Organizational & Contract Pricing.
Select a Size
Change View
About This Item
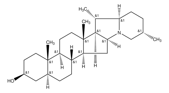
Empirical Formula (Hill Notation):
C27H45NO
CAS Number:
Molecular Weight:
399.65
UNSPSC Code:
12352200
PubChem Substance ID:
EC Number:
207-478-1
MDL number:
storage temp.
2-8°C
SMILES string
[H][C@@]12CC[C@]3([H])[C@]([H])(CC[C@@]4(C)[C@@]3([H])C[C@]5([H])N6C[C@@H](C)CC[C@]6([H])[C@@H](C)[C@]45[H])[C@@]1(C)CC[C@H](O)C2
Other Notes
Alkaloid found, as various glycosides, in the skin of unripe potatoes. Inhibits growth of human colon and liver cancer cells in culture, though less actively than its glycosides.
signalword
Warning
hcodes
pcodes
Hazard Classifications
Acute Tox. 4 Oral - Carc. 2
Storage Class
13 - Non Combustible Solids
wgk
WGK 3
flash_point_f
Not applicable
flash_point_c
Not applicable
ppe
Eyeshields, Gloves, type P3 (EN 143) respirator cartridges
Regulatory Information
新产品
This item has
Choose from one of the most recent versions:
Already Own This Product?
Find documentation for the products that you have recently purchased in the Document Library.
Kap-Rang Lee et al.
Journal of agricultural and food chemistry, 52(10), 2832-2839 (2004-05-13)
As part of an effort to improve plant-derived foods such as potatoes, eggplants, and tomatoes, the antiproliferative activities against human colon (HT29) and liver (HepG2) cancer cells of a series of structurally related individual compounds were examined using a microculture
Our team of scientists has experience in all areas of research including Life Science, Material Science, Chemical Synthesis, Chromatography, Analytical and many others.
Contact Technical Service
