Skip to Content
Merck
CN

E7880

Sigma-Aldrich

Eledoisin

≥97% (HPLC)

Sign Into View Organizational & Contract Pricing

Select a Size


About This Item

Empirical Formula (Hill Notation):
C54H85N13O15S
CAS Number:
Molecular Weight:
1188.40
MDL number:
UNSPSC Code:
12352200
Technical Service
Need help? Our team of experienced scientists is here for you.
Let Us Assist
Technical Service
Need help? Our team of experienced scientists is here for you.
Let Us Assist

Assay

≥97% (HPLC)

storage temp.

−20°C

SMILES string

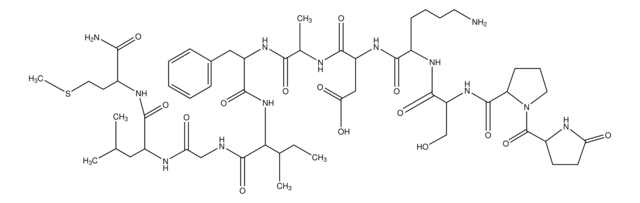
CCC(C)C(NC(=O)C(Cc1ccccc1)NC(=O)C(C)NC(=O)C(CC(O)=O)NC(=O)C(CCCCN)NC(=O)C(CO)NC(=O)C2CCCN2C(=O)C3CCC(=O)N3)C(=O)NCC(=O)NC(CC(C)C)C(=O)NC(CCSC)C(N)=O

Amino Acid Sequence

pGlu-Pro-Ser-Lys-Asp-Ala-Phe-Ile-Gly-Leu-Met-NH2

Biochem/physiol Actions

Tachykinin originally isolated from the salivary gland of octopus with structural homology to substance P; potent vasodilator and hypotensive agent; induces salivation and increases capillary permeability. Agonist at tachykinin NK-2/NK-3 receptors.

Storage Class Code

13 - Non Combustible Solids

WGK

WGK 3

Flash Point(F)

Not applicable

Flash Point(C)

Not applicable

Personal Protective Equipment

dust mask type N95 (US), Eyeshields, Gloves

Regulatory Information

新产品
This item has

Choose from one of the most recent versions:

Certificates of Analysis (COA)

Lot/Batch Number

Don't see the Right Version?

If you require a particular version, you can look up a specific certificate by the Lot or Batch number.

Already Own This Product?

Find documentation for the products that you have recently purchased in the Document Library.

Visit the Document Library

P Björup et al.
Bioorganic & medicinal chemistry, 6(7), 891-901 (1998-09-08)
The influence of different reaction systems on alpha-chymotrypsin-catalyzed synthesis of eledoisin and LH-RH peptides from (7 + 4) and (5 + 5) fragments was investigated. The peptide yield was determined in the following systems: buffered aqueous media, frozen solutions, organic
C Lippe et al.
Peptides, 19(8), 1435-1438 (1998-11-11)
The tachykinin-dependent stimulation of ion transport across frog skin was studied. Tachykinin stimulation was due to interaction with an NK1-like receptor as [Sar9-Met(O2)11]-Substance P (a very selective NK1 agonist) strongly stimulated SCC, whereas [beta-Ala8]-Neurokinin A 4-10 (a very selective NK2
G Hölzemann et al.
International journal of peptide and protein research, 44(2), 105-111 (1994-08-01)
The synthesis of 11 cyclic hexapeptides, some of which contain a carbohydrate side chain moiety, is described in this paper. A glycosylamine was coupled without hydroxyl protecting groups either directly or via a butyric acid spacer to the side chain
U Gether et al.
The Journal of biological chemistry, 268(11), 7893-7898 (1993-04-15)
The NK1 (substance P) and NK3 (neurokinin B) receptors are G protein-coupled receptors sharing approximately 70% identity within the membrane-spanning domains. However, they each have a distinct pharmacological profile in respect of peptide binding. To identify epitopes that determine their
S Iwasaki et al.
Archives of oral biology, 43(6), 463-471 (1998-08-26)
Four tachykinins were each administered at 20 micrograms/kg body wt. All the tachykinins had a positive effect on granular secretion from the lingual epithelium, and the loss of cytoplasm from cells of the lingual epithelium was greatest with physalaemin and

Our team of scientists has experience in all areas of research including Life Science, Material Science, Chemical Synthesis, Chromatography, Analytical and many others.

Contact Technical Service