Skip to Content
Merck
CN

F9432

FSL-Galili(tri)

Synonym(s):

FSL-GALILI(GALa3GALb4GLCNAcb)-SA1-L1

Sign In to View Organizational & Contract Pricing.

Select a Size


About This Item

Empirical Formula (Hill Notation):
C70H125N3NaO26P
Molecular Weight:
1478.71
PubChem Substance ID:
UNSPSC Code:
12352201
Technical Service
Need help? Our team of experienced scientists is here for you.
Let Us Assist
Technical Service
Need help? Our team of experienced scientists is here for you.
Let Us Assist

InChI

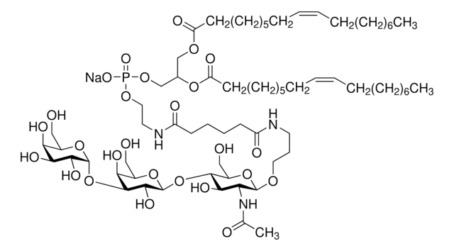
1S/C70H126N3O26P.Na/c1-4-6-8-10-12-14-16-18-20-22-24-26-28-30-32-39-57(80)91-48-51(94-58(81)40-33-31-29-27-25-23-21-19-17-15-13-11-9-7-5-2)49-93-100(88,89)92-44-42-72-56(79)38-35-34-37-55(78)71-41-36-43-90-68-59(73-50(3)77)62(84)66(54(47-76)97-68)98-70-65(87)67(61(83)53(46-75)96-70)99-69-64(86)63(85)60(82)52(45-74)95-69;/h18-21,51-54,59-70,74-76,82-87H,4-17,22-49H2,1-3H3,(H,71,78)(H,72,79)(H,73,77)(H,88,89);/q;+1/p-1/b20-18-,21-19-;/t51?,52-,53+,54+,59+,60+,61-,62+,63-,64-,65+,66+,67-,68+,69+,70-;/m0./s1

InChI key

VOMUYNACNWSYRD-NDMKQWMXSA-M

SMILES string

O=C(CCCCC(NCCOP(OCC(COC(CCCCCCC/C=C\CCCCCCCC)=O)OC(CCCCCCC/C=C\CCCCCCCC)=O)([O-])=O)=O)NCCCO[C@@H]1O[C@H](CO)[C@@H](O[C@@H]2O[C@H](CO)[C@H](O)[C@H](O[C@H]3O[C@@H](CO)[C@@H](O)[C@H](O)[C@@H]3O)[C@H]2O)[C@H](O)[C@H]1NC(C)=O.[Na+]

assay

≥95% (TLC)

form

solid

Application

All FSL constructs disperse in biocompatible media and spontaneously and stably incorporate into cell membranes. FSL-Galili(tri) has been specifically designed to create human cells (kodecytes) expressing controlled levels of the animal Galili antigen but can also be used to modify other hydrophobic surfaces including fixed cells, virions, and solid phase surfaces.
All FSL constructs disperse in biocompatible media and spontaneously and stably incorporate into cell membranes. Cells modified with KODE constructs are known as kodecytes and usually maintain their normal vitality and functionality.

FSL-Galili(tri) has been specifically designed to create human cells (kodecytes) expressing controlled levels of the animal Galili antigen but can also be used to modify other hydrophobic surfaces including fixed cells, virions, and solid phase surfaces. This product can be used to modify Galili negative red cells to create kodecytes that can quantitate antibodies directed against the Galili antigen. These Galili-kodecytes will react with almost all human serum, the degree of reactivity determined by the level of antibody present (and level of FSL antigen inserted).

Other Notes

FSL-Galili(tri) is a KODE technology construct designed to label hydrophobic surfaces including living cells with the ubiquitous animal antigen Galili (human cells are Galilli antigen negative). All KODE FSL constructs consist of three essential designable features: a functional component (F), a spacer (S), and a diacyl lipid (L). FSL-Galili(tri) is comprised of the Galili trisaccharide Galα3Galβ4GlcNAcβ representing F, conjugated via an O(CH2)3NH spacer (SA1) to an activated adipate derivative of dioleoyl­phos­pha­tidyl­ethanolamine (L1).

Legal Information

KODE Constructs are supplied by KODE Biotech Materials Limited under license from KODE Biotech Limited.
KODE is a trademark of KODE Biotech Ltd.

Storage Class

13 - Non Combustible Solids

wgk

WGK 3

flash_point_f

Not applicable

flash_point_c

Not applicable

Regulatory Information

新产品
This item has

Choose from one of the most recent versions:

Certificates of Analysis (COA)

Lot/Batch Number

Don't see the Right Version?

If you require a particular version, you can look up a specific certificate by the Lot or Batch number.

Already Own This Product?

Find documentation for the products that you have recently purchased in the Document Library.

Visit the Document Library

Related Content

Glycobiology and Glycoproteomics Brochure

Instructions

Our team of scientists has experience in all areas of research including Life Science, Material Science, Chemical Synthesis, Chromatography, Analytical and many others.

Contact Technical Service