Skip to Content
Merck
CN

F9641

Sigma-Aldrich

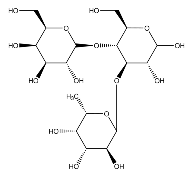
3-Fucosyllactose

from human milk, ≥95% (HPAE/PAD)

Synonym(s):

α-L-Fuc-(1→3)-[β-D-Gal-(1→4)]-D-Glc, 3-FL

Sign Into View Organizational & Contract Pricing

Select a Size


About This Item

Empirical Formula (Hill Notation):
C18H32O15
CAS Number:
Molecular Weight:
488.44
MDL number:
UNSPSC Code:
12352200
Technical Service
Need help? Our team of experienced scientists is here for you.
Let Us Assist
Technical Service
Need help? Our team of experienced scientists is here for you.
Let Us Assist

biological source

human milk

Assay

≥95% (HPAE/PAD)

storage temp.

2-8°C

SMILES string

C[C@@H]1OC(O[C@@H]2[C@@H](O)C(O)O[C@H](CO)[C@H]2O[C@H]3O[C@H](CO)[C@H](O)[C@H](O)[C@H]3O)[C@@H](O)[C@H](O)[C@@H]1O

Other Notes

Terminal Glc analog of Lewis-X trisaccharide.

Regulatory Information

新产品
This item has

Choose from one of the most recent versions:

Certificates of Analysis (COA)

Lot/Batch Number

Don't see the Right Version?

If you require a particular version, you can look up a specific certificate by the Lot or Batch number.

Already Own This Product?

Find documentation for the products that you have recently purchased in the Document Library.

Visit the Document Library

Our team of scientists has experience in all areas of research including Life Science, Material Science, Chemical Synthesis, Chromatography, Analytical and many others.

Contact Technical Service