Sign In to View Organizational & Contract Pricing.
Select a Size
Change View
About This Item
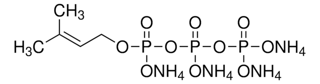
Empirical Formula (Hill Notation):
C5H13O10P3 · 4NH3
Molecular Weight:
394.19
NACRES:
NA.77
PubChem Substance ID:
UNSPSC Code:
12352202
MDL number:
Assay:
≥95% (TLC)
assay
≥95% (TLC)
packaging
vial of 200 μg
concentration
1 mg/mL in methanol: NH4OH (7:3)
shipped in
wet ice
storage temp.
−20°C
SMILES string
[NH4+].[NH4+].[NH4+].[NH4+].C\C(C)=C\COP([O-])(=O)OP([O-])(=O)OP([O-])([O-])=O
InChI
1S/C5H13O10P3.4H3N/c1-5(2)3-4-13-17(9,10)15-18(11,12)14-16(6,7)8;;;;/h3H,4H2,1-2H3,(H,9,10)(H,11,12)(H2,6,7,8);4*1H3
InChI key
SZFMWLMKMIAZEW-UHFFFAOYSA-N
Biochem/physiol Actions
Isoprenoid building block.
signalword
Danger
Hazard Classifications
Acute Tox. 3 Dermal - Acute Tox. 3 Inhalation - Acute Tox. 3 Oral - Aquatic Acute 1 - Aquatic Chronic 1 - Eye Dam. 1 - Flam. Liq. 2 - Skin Corr. 1B - STOT SE 1 - STOT SE 3
target_organs
Eyes,Central nervous system, Respiratory system
Storage Class
3 - Flammable liquids
wgk
WGK 2
flash_point_f
69.8 °F
flash_point_c
21 °C
Regulatory Information
新产品
This item has
Choose from one of the most recent versions:
Already Own This Product?
Find documentation for the products that you have recently purchased in the Document Library.
P D Wagner et al.
The Journal of biological chemistry, 275(45), 35570-35576 (2000-08-23)
The biochemical mechanism(s) by which Nm23 proteins/nucleoside diphosphate kinases suppress tumor metastasis, inhibit cell motility, and affect cellular differentiation are not known. Here we report that Nm23 proteins can phosphorylate geranyl and farnesyl pyrophosphates to give triphosphates. Wild type Nm23-H1
Global Trade Item Number
| SKU | GTIN |
|---|---|
| I1282-5VL | 04061838124173 |
| I1282-1VL | 04061832981819 |




