Skip to Content
Merck
CN

I8630

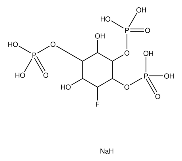
3-Deoxy-3-fluoro-D-myo-inositol 1,4,5-trisphosphate hexasodium salt

Sign In to View Organizational & Contract Pricing.

Select a Size


About This Item

Linear Formula:
C6H8FO14P3Na6
CAS Number:
Molecular Weight:
553.98
UNSPSC Code:
12352201
MDL number:
Technical Service
Need help? Our team of experienced scientists is here for you.
Let Us Assist
Technical Service
Need help? Our team of experienced scientists is here for you.
Let Us Assist

SMILES string

[Na].OC1C(F)C(OP(O)(O)=O)C(OP(O)(O)=O)C(O)C1OP(O)(O)=O

storage temp.

−20°C

Regulatory Information

新产品
This item has

Choose from one of the most recent versions:

Certificates of Analysis (COA)

Lot/Batch Number

Don't see the Right Version?

If you require a particular version, you can look up a specific certificate by the Lot or Batch number.

Already Own This Product?

Find documentation for the products that you have recently purchased in the Document Library.

Visit the Document Library

Kozikowski, A.P., et al.
Journal of the American Chemical Society, 112, 7403-7403 (1990)

Our team of scientists has experience in all areas of research including Life Science, Material Science, Chemical Synthesis, Chromatography, Analytical and many others.

Contact Technical Service