Skip to Content
Merck
CN

L0134

β-Lipotropin Fragment 88-91

≥95% (HPLC)

Synonym(s):

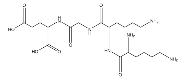
Lys-Lys-Gly-Glu, MPF

Sign In to View Organizational & Contract Pricing.

Select a Size

Change View

About This Item

Empirical Formula (Hill Notation):
C19H36N6O7
CAS Number:
Molecular Weight:
460.53
UNSPSC Code:
12352200
MDL number:
Technical Service
Need help? Our team of experienced scientists is here for you.
Let Us Assist

assay

≥95% (HPLC)

UniProt accession no.

storage temp.

−20°C

SMILES string

NCCCCC(N)C(=O)NC(CCCCN)C(=O)NCC(=O)NC(CCC(O)=O)C(O)=O

Gene Information

human ... POMC(5443)

Biochem/physiol Actions

Melanotropin potentiating factor which gives a 5-fold enhancement of α-MSH activity at 0.5 nM

Regulatory Information

新产品

This item has


Choose from one of the most recent versions:

Certificates of Analysis (COA)

Lot/Batch Number

Don't see the Right Version?

If you require a particular version, you can look up a specific certificate by the Lot or Batch number.

Already Own This Product?

Find documentation for the products that you have recently purchased in the Document Library.

Visit the Document Library

Melanotropin potentiating factor is the C-terminal tetrapeptide of human beta-lipotropin.
R J Carter et al.
Nature, 279(5708), 74-75 (1979-05-03)

Our team of scientists has experience in all areas of research including Life Science, Material Science, Chemical Synthesis, Chromatography, Analytical and many others.

Contact Technical Service