Skip to Content
Merck
CN

L9890

Sigma-Aldrich

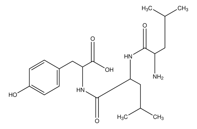
Leu-Leu-Tyr

Sign Into View Organizational & Contract Pricing

Select a Size


About This Item

Empirical Formula (Hill Notation):
C21H33N3O5
CAS Number:
Molecular Weight:
407.50
MDL number:
UNSPSC Code:
12352200
PubChem Substance ID:
Technical Service
Need help? Our team of experienced scientists is here for you.
Let Us Assist
Technical Service
Need help? Our team of experienced scientists is here for you.
Let Us Assist

storage temp.

−20°C

SMILES string

CC(C)CC(N)C(=O)NC(CC(C)C)C(=O)NC(Cc1ccc(O)cc1)C(O)=O

InChI

1S/C21H33N3O5/c1-12(2)9-16(22)19(26)23-17(10-13(3)4)20(27)24-18(21(28)29)11-14-5-7-15(25)8-6-14/h5-8,12-13,16-18,25H,9-11,22H2,1-4H3,(H,23,26)(H,24,27)(H,28,29)

InChI key

UCNNZELZXFXXJQ-UHFFFAOYSA-N

Storage Class Code

13 - Non Combustible Solids

WGK

WGK 3

Flash Point(F)

Not applicable

Flash Point(C)

Not applicable

Regulatory Information

新产品
This item has

Choose from one of the most recent versions:

Certificates of Analysis (COA)

Lot/Batch Number

Don't see the Right Version?

If you require a particular version, you can look up a specific certificate by the Lot or Batch number.

Already Own This Product?

Find documentation for the products that you have recently purchased in the Document Library.

Visit the Document Library

Merav Geva et al.
Proteins, 55(4), 862-873 (2004-05-18)
Molecular models are built of the recognition domains of two antibodies, which are raised and selected against crystals of (L)leucine-(L)leucine-(L)tyrosine. The model of one antibody, which is stereo- and enantioselective, reveals astounding chemical and structural complementarity to the recognized crystal
Merav Geva et al.
Journal of the American Chemical Society, 125(3), 696-704 (2003-01-16)
Monoclonal antibodies were selected after immunization with crystals of the tripeptide l-leucine-l-leucine-l-tyrosine. They interact with the tripeptide crystals, but do not interact with the tripeptide molecule, with other crystalline surfaces, or with adsorbed protein. The interactions of two antibodies with
J Delettré et al.
Acta crystallographica. Section C, Crystal structure communications, 44 ( Pt 5), 905-907 (1988-05-15)
C21H34N3O5+.Cl-, Mr = 444.0, orthorhombic, P2(1)2(1)2(1), a = 26.074 (5), b = 17.591 (4), c = 5.224 (2) A, V = 2396.1 (10) A3, Z = 4, Cu K alpha, lambda = 1.5418 A, mu = 1.71 mm-1, F(000) =

Our team of scientists has experience in all areas of research including Life Science, Material Science, Chemical Synthesis, Chromatography, Analytical and many others.

Contact Technical Service