Skip to Content
Merck
CN

V8004

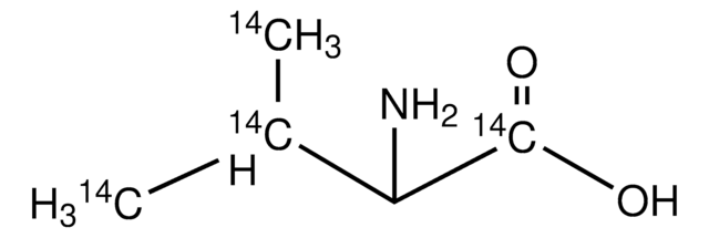
L-Valine-UL-14C hydrochloride

≥98% (Radiochemical Purity, HPLC), aqueous ethanol solution

Synonym(s):

(S)-(+)-Valine-UL-14C

Sign In to View Organizational & Contract Pricing.

Select a Size

Change View

About This Item

Linear Formula:
[14CH3]214CH14CH[NH2]14COOH
CAS Number:
Molecular Weight:
117.15
UNSPSC Code:
12352200
PubChem Substance ID:
MDL number:
Technical Service
Need help? Our team of experienced scientists is here for you.
Let Us Assist


assay

≥98% (Radiochemical Purity, HPLC)

form

aqueous ethanol solution

extent of labeling

200-300 mCi per mmol

storage temp.

2-8°C

SMILES string

[14CH3][14CH]([14CH3])C(N)[14C](O)=O

Packaging

Combi-vial

Physical form

Aqueous solution containing 2% ethanol


Regulatory Information

监管及禁止进口产品

This item has



Choose from one of the most recent versions:

Certificates of Analysis (COA)

Lot/Batch Number

It looks like we've run into a problem, but you can still download Certificates of Analysis from our Documents section.

If you need assistance, please contact Customer Support

Already Own This Product?

Find documentation for the products that you have recently purchased in the Document Library.

Visit the Document Library