Skip to Content
Merck
CN

SML3224

Sugammadex sodium

≥95% (HPLC), powder, neuromuscular blocker reversing agent

Synonym(s):

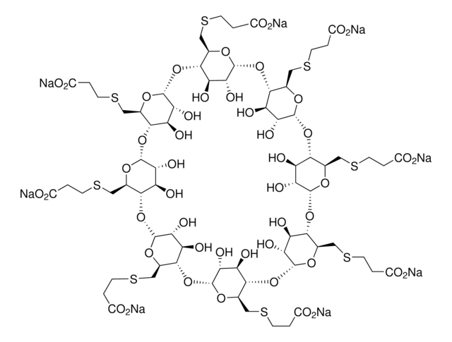
6-Perdeoxy-6-per(2-carboxyethyl)thio-γ-cyclodextrin, sodium Salt, Org 25969, Org-25969, Org25969

Sign In to View Organizational & Contract Pricing.

Select a Size

Change View

About This Item

Empirical Formula (Hill Notation):
C72H104Na8O48S8
CAS Number:
Molecular Weight:
2178.01
NACRES:
NA.77
UNSPSC Code:
12352107
MDL number:
Assay:
≥95% (HPLC)
Form:
powder
Quality level:
Technical Service
Need help? Our team of experienced scientists is here for you.
Let Us Assist

Product Name

Sugammadex sodium, ≥95% (HPLC)

Quality Level

assay

≥95% (HPLC)

form

powder

color

white to beige

solubility

H2O: 2 mg/mL, clear

storage temp.

−20°C

SMILES string

O[C@@H]1[C@@H](O)[C@@H](O[C@@H]2[C@@H](CSCCC(O[Na])=O)O[C@H](O[C@@H]3[C@@H](CSCCC(O[Na])=O)O[C@H](O[C@H]4[C@H](O)[C@@H](O)[C@@H](O[C@@H]5[C@@H](CSCCC(O[Na])=O)O[C@H](O[C@@H]6[C@@H](CSCCC(O[Na])=O)O[C@H]7[C@H](O)[C@H]6O)[C@H](O)[C@H]5O)O[C@@H]4CSCCC(O[Na])

InChI

1S/C72H112O48S8.8Na/c73-33(74)1-9-121-17-25-57-41(89)49(97)65(105-25)114-58-26(18-122-10-2-34(75)76)107-67(51(99)43(58)91)116-60-28(20-124-12-4-36(79)80)109-69(53(101)45(60)93)118-62-30(22-126-14-6-38(83)84)111-71(55(103)47(62)95)120-64-32(24-128-16-8-40(87)88)112-72(56(104)48(64)96)119-63-31(23-127-15-7-39(85)86)110-70(54(102)46(63)94)117-61-29(21-125-13-5-37(81)82)108-68(52(100)44(61)92)115-59-27(19-123-11-3-35(77)78)106-66(113-57)50(98)42(59)90;;;;;;;;/h25-32,41-72,89-104H,1-24H2,(H,73,74)(H,75,76)(H,77,78)(H,79,80)(H,81,82)(H,83,84)(H,85,86)(H,87,88);;;;;;;;/q;8*+1/p-8/t25-,26-,27-,28-,29-,30-,31-,32-,41-,42-,43-,44-,45-,46-,47-,48-,49-,50-,51-,52-,53-,54-,55-,56-,57-,58-,59-,60-,61-,62-,63-,64-,65-,66-,67-,68-,69-,70-,71-,72-;;;;;;;;/m1......../s1

InChI key

KMGKABOMYQLLDJ-VKHHSAQNSA-F

Related Categories

Biochem/physiol Actions

Selective relaxant binding agent (SRBA) for complexing aminosteroid nondepolarizing neuromuscular blockers (NMBs) in vitro and in vivo.
Sugammadex (Org 25969) is a selective relaxant binding agent (SRBA) for complexing aminosteroid nonpolarizing neuromuscular blockers (NMBs), including pipecuronium, rocuronium and vecuronium. Sugammadex effectively recovers muscle twitch blockade in vitro (EC50 = 1.2 μM, Emax = 95.1%; isolated mouse hemi-diaphragm under 90% block by 3.6 μM rocuronium) and reverses neuromuscular blockade in vivo (ED50 = 30 nmol/kg i.v. & Emax = 92.5% with guinea pigs under 90% neuromuscular block by 10 nmol/kg/min rocuronium i.v. infusion; >90% recovery at 1 mg/kg or 0.46 μmol/kg i.v. of M. tibialis contractions of cats under 95% block by 10.24 nmol/kg/min rocuronium i.v. infusion).

Storage Class

11 - Combustible Solids

wgk

WGK 3

flash_point_f

Not applicable

flash_point_c

Not applicable


Choose from one of the most recent versions:

Certificates of Analysis (COA)

Lot/Batch Number

Don't see the Right Version?

If you require a particular version, you can look up a specific certificate by the Lot or Batch number.

Already Own This Product?

Find documentation for the products that you have recently purchased in the Document Library.

Visit the Document Library

Hans D de Boer et al.
Anesthesiology, 104(4), 718-723 (2006-03-31)
Reversal of neuromuscular blockade can be accomplished by chemical encapsulation of rocuronium by sugammadex, a synthetic gamma-cyclodextrin derivative. The current study determined the feasibility of reversal of rocuronium-induced profound neuromuscular blockade with sugammadex in the anesthetized rhesus monkey using train-of-four
Tünay Kandemir et al.
Turkish journal of anaesthesiology and reanimation, 47(5), 392-395 (2019-10-02)
In an in vitro study, lidocaine, remifentanil and methylprednisolone produced inclusion complexes with sugammadex, which lead to a decrease in free and active concentrations of sugammadex. When used concurrently with these drugs, it is likely that the time for sugammadex
Julia M Adam et al.
Journal of medicinal chemistry, 45(9), 1806-1816 (2002-04-19)
A series of mono- and per-6-substituted cyclodextrin derivatives were synthesized as synthetic receptors (or host molecules) of rocuronium bromide, the most widely used neuromuscular blocker in anaesthesia. By forming host-guest complexes with rocuronium, these cyclodextrin derivatives reverse the muscle relaxation
H D de Boer et al.
British journal of anaesthesia, 96(2), 201-206 (2005-12-27)
At present, reversal of neuromuscular block induced by steroidal neuromuscular blocking agents (NMBAs) is achieved by administration of cholinesterase inhibitors. Chemical encapsulation of steroidal NMBAs, such as rocuronium, by a cyclodextrin is a new concept in neuromuscular block reversal. The
Seok Kyeong Oh et al.
Scientific reports, 9(1), 11268-11268 (2019-08-04)
Studies have reported that protracted dexamethasone treatment induces resistance to nondepolarizing neuromuscular blocking agents (NMBAs) and the association with nicotinic acetylcholine receptors in the diaphragm of rats. Here, we investigated the effect of protracted dexamethasone administration on the sensitivity to

Global Trade Item Number

SKUGTIN
SML3224-100MG04065267465814
SML3224-25MG04065267465821

Our team of scientists has experience in all areas of research including Life Science, Material Science, Chemical Synthesis, Chromatography, Analytical and many others.

Contact Technical Service