登录 查看组织和合同定价。
选择尺寸
变更视图
关于此项目
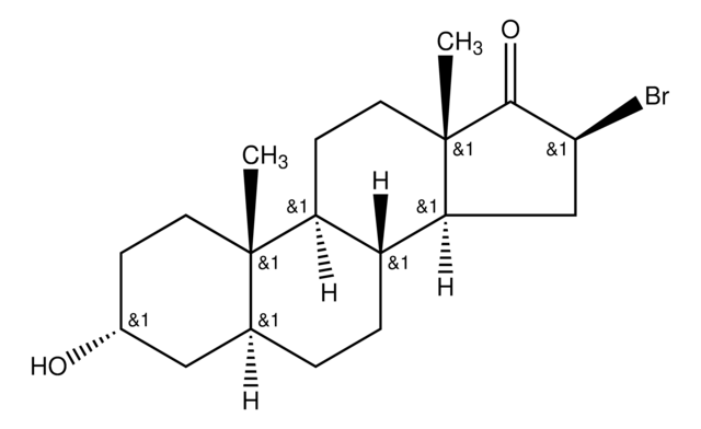
经验公式(希尔记法):
C19H29BrO2
化学文摘社编号:
分子量:
369.34
NACRES:
NA.77
PubChem Substance ID:
UNSPSC Code:
12352202
MDL number:
Form:
solid
form
solid
Quality Level
drug control
USDEA Schedule III; Home Office Schedule 4.2; regulated under CDSA - not available from Sigma-Aldrich Canada
shipped in
ambient
storage temp.
room temp
SMILES string
[H][C@@]12CC[C@]3([H])[C@]([H])(CC[C@]4(C)C(=O)[C@@H](Br)C[C@@]34[H])[C@@]1(C)CC[C@@H](O)C2
InChI
1S/C19H29BrO2/c1-18-7-5-12(21)9-11(18)3-4-13-14(18)6-8-19(2)15(13)10-16(20)17(19)22/h11-16,21H,3-10H2,1-2H3/t11-,12+,13+,14-,15-,16-,18-,19-/m0/s1
InChI key
CWVMWSZEMZOUPC-RWUIUEHLSA-N
存储类别
11 - Combustible Solids
wgk
WGK 3
flash_point_f
Not applicable
flash_point_c
Not applicable
ppe
Eyeshields, Gloves, type N95 (US)
法规信息
新产品
此项目有
全球贸易项目编号
| 货号 | GTIN |
|---|---|
| B9392-5MG | 04061833258736 |
我们的科学家团队拥有各种研究领域经验,包括生命科学、材料科学、化学合成、色谱、分析及许多其他领域.
联系客户支持