跳转至内容
Merck
CN

A2852

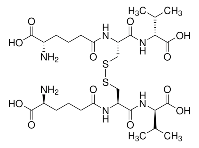
δ-(L-α-Aminoadipyl)-Cys-D-Val

≥95% (HPLC)

别名:

ACV

登录 查看组织和合同定价。

选择尺寸


关于此项目

经验公式(希尔记法):
C14H25N3O6S
分子量:
363.43
UNSPSC Code:
12352200
MDL number:
技术服务
需要帮助?我们经验丰富的科学家团队随时乐意为您服务。
让我们为您提供帮助
技术服务
需要帮助?我们经验丰富的科学家团队随时乐意为您服务。
让我们为您提供帮助

SMILES string

CC(C)[C@@H](NC(=O)[C@H](CSSC[C@H](NC(=O)CCC[C@H](N)C(O)=O)C(=O)N[C@H](C(C)C)C(O)=O)NC(=O)CCC[C@H](N)C(O)=O)C(O)=O

assay

≥95% (HPLC)

storage temp.

−20°C

Other Notes

ACV is the key intermediate in the biosynthesis of all penicillins and cephalosporins by eukaryotic and prokaryotic microorganisms.

法规信息

新产品
此项目有

历史批次信息供参考:

分析证书(COA)

Lot/Batch Number

没有发现合适的版本?

如果您需要特殊版本,可通过批号或批次号查找具体证书。

已有该产品?

在文件库中查找您最近购买产品的文档。

访问文档库

P L Roach et al.
Nature, 387(6635), 827-830 (1997-06-19)
The biosynthesis of penicillin and cephalosporin antibiotics in microorganisms requires the formation of the bicyclic nucleus of penicillin. Isopenicillin N synthase (IPNS), a non-haem iron-dependent oxidase, catalyses the reaction of a tripeptide, delta-(L-alpha-aminoadipoyl)-L-cysteinyl-D-valine (ACV), and dioxygen to form isopenicillin N
P Adriaens et al.
Antimicrobial agents and chemotherapy, 8(6), 638-642 (1975-12-01)
Cultures of Penicillium chrysogenum, growth with [(35)S]sulfate or labeled amino acids, were examined by ion-exchange chromatography for possible peptidic precursors of penicillin. A sulfur-containing compound, present in both the mycelial extracts and the culture filtrates, was eluted at the location
W Kallow et al.
FEBS letters, 414(1), 74-78 (1997-09-26)
The tripeptide delta-L-alpha-aminoadipyl-L-cysteinyl-D-valine (LLD-ACV) is synthesised by the multifunctional enzyme ACV synthetase integrating four steps of the penicillin and cephalosporin biosynthetic pathway. Peptide synthesis follows the thiotemplate mechanism from intermediates bound as thioesters to the enzyme. The formation of delta-(L-alpha-aminoadipyl)-L-cysteinyl-thioester

我们的科学家团队拥有各种研究领域经验,包括生命科学、材料科学、化学合成、色谱、分析及许多其他领域.

联系客户支持