跳转至内容
Merck
CN
搜索范围
产品分类
品牌
分子量
制造商
物质形态
纯度
质量水平
应用
标准物质类型
可售

11141-17-6

应用筛选条件
关键词:'11141-17-6'
显示 1-2 #N/A 2 条结果 关于 "11141-17-6" 范围 产品
所有图片(1)

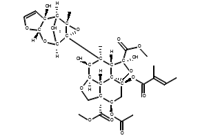
经验公式(希尔记法): C35H44O16
CAS No.:
11141-17-6
分子量:
720.71
比较产品编号说明化学品安全说明书价格
A7430

~95%

93032

certified reference material, TraceCERT®, Manufactured by: Sigma-Aldrich Production GmbH, Switzerland

所有图片(1)

Azadirachtin

CAS No.:
11141-17-6
分子量:
720.72
比较产品编号说明价格
ST9H9BC0D457

1/1