搜索范围
产品分类
品牌
颜色
分子量
物质形态
纯度
质量水平
可售
1239600-18-0
应用筛选条件
关键词:'1239600-18-0'
显示 1-2 #N/A 2 条结果 关于 "1239600-18-0" 范围 产品
所有图片(1)
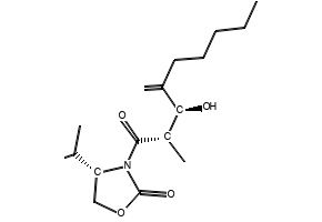
LMT-28
别名: (4S)-3-[(2S,3S)-3-羟基-2-甲基-4-亚甲基-1-氧羰基] -4-(1-甲基乙基)-2-恶唑烷酮
| 比较 | 产品编号 | 说明 | 化学品安全说明书 | 价格 | ||||
|---|---|---|---|---|---|---|---|---|
| SML1628 | ≥98% (HPLC) | |||||||
所有图片(1)
LMT-28
- CAS No.:
- 1239600-18-0
- 分子量:
- 311.42
| 比较 | 产品编号 | 说明 | 价格 | |||||
|---|---|---|---|---|---|---|---|---|
| ST9H9BC14A92 | ||||||||
1/1