跳转至内容
Merck
CN
搜索范围
产品分类
品牌
分子量
熔点(°C)
物质形态
纯度
质量水平
马库什类别
马库什群组
光学异构体
可售

2595-97-3

应用筛选条件
关键词:'2595-97-3'
显示 1-3 #N/A 3 条结果 关于 "2595-97-3" 范围 产品
所有图片(1)

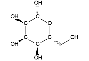
D-阿洛糖

别名: β-D-别吡喃糖, β-D-阿洛糖, All
经验公式(希尔记法): C6H12O6
CAS No.:
2595-97-3
分子量:
180.16
EC No.:
219-994-4
Beilstein No.:
1724623
比较产品编号说明化学品安全说明书价格
285005

98%

所有图片(2)

CAS No.:
2595-97-3
分子量:
180.16
比较产品编号说明价格
LEYH9B0E5448

ST9H9BC1E5E2

所有图片(1)

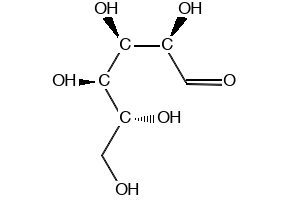
(2R,3R,4R,5R)-2,3,4,5,6-Pentahydroxyhexanal

CAS No.:
2595-97-3
分子量:
180.16
比较产品编号说明价格
BDPH9C02022D

1/1