搜索范围
收货
产品分类
品牌
生物来源
沸点(°C)
颜色
分子量
物质形态
纯度
包装形式
化学成分
质量水平
官能团
应用
马库什类别
马库什群组
技术
可售
83-86-3
应用筛选条件
关键词:'83-86-3'
显示 1-4 #N/A 4 条结果 关于 "83-86-3" 范围 产品
所有图片(2)
| 比较 | 产品编号 | 说明 | 化学品安全说明书 | 价格 | ||||
|---|---|---|---|---|---|---|---|---|
| 593648 | 50 % (w/w) in H2O | |||||||
所有图片(1)
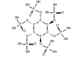
Phytic acid
- CAS No.:
- 83-86-3
- 分子量:
- 660.04
| 比较 | 产品编号 | 说明 | 价格 | |||||
|---|---|---|---|---|---|---|---|---|
| ST9H93D8DB9D | ||||||||
所有图片(4)
别名: InsP6, 肌醇六(磷酸二氢酯), 肌醇六磷酸
经验公式(希尔记法): C6H18O24P6 · xNa+ · yH2O
- CAS No.:
- 14306-25-3
- 分子量:
- 660.04 (anhydrous free acid basis)
- EC No.:
- 238-242-6
| 比较 | 产品编号 | 说明 | 化学品安全说明书 | 价格 | ||||
|---|---|---|---|---|---|---|---|---|
| P8810 | from rice | |||||||
| 68388 | ≥90% phosphorus (P) basis (dry basis) | |||||||
所有图片(1)
有机酸标准品套装
| 比较 | 产品编号 | 说明 | 化学品安全说明书 | 价格 | ||||
|---|---|---|---|---|---|---|---|---|
| 47264 | (individually packaged), analytical standard | |||||||
1/1