搜索范围
收货
产品分类
品牌
生物来源
颜色
分子量
基因别名
制造商
熔点(°C)
物质形态
纯度
机构
包装形式
质量水平
应用
包装大小
API分类
标准物质类型
技术
可售
96829-58-2
应用筛选条件
关键词:'96829-58-2'
显示 1-3 #N/A 3 条结果 关于 "96829-58-2" 范围 产品
所有图片(4)
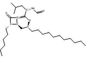
别名: N-甲酰基-L-亮氨酸(1S)-1 - [[(2S,3S)-3-己基-4-氧代-2-氧杂环丁烷基]甲基]十二烷基酯, Ro-18-0647, (−)-四氢脂抑素, 奥利司他
所有图片(1)
Orlistat
- CAS No.:
- 96829-58-2
- 分子量:
- 495.74
| 比较 | 产品编号 | 说明 | 价格 | |||||
|---|---|---|---|---|---|---|---|---|
| ST9H93D8C7EC | ||||||||
所有图片(1)
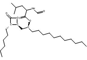
(S)-(S)-1-((2S,3S)-3-Hexyl-4-oxooxetan-2-yl)tridecan-2-yl 2-formamido-4-methylpentanoate
- CAS No.:
- 96829-58-2
- 分子量:
- 495.74
| 比较 | 产品编号 | 说明 | 价格 | |||||
|---|---|---|---|---|---|---|---|---|
| BDPH9C0214EE | ||||||||
1/1