跳转至内容
CN
ZH
产品
应用
服务
资源
支持
分析化学
细胞培养与分析
化学与生物化学
临床与诊断
过滤
绿色替代产品
工业微生物学
实验室自动化
实验室器皿
材料科学
分子生物学与功能基因组学
mAbs 开发与制造
mRNA 开发与制造
制药和生物制药生产
蛋白质生物学
水纯化系统
分析化学
细胞培养与分析
化学与合成
临床与诊断
环境与大麻测试
食品和饮料测试与制造
基因组学
材料科学与工程
微生物测试
mAbs 开发与制造
mRNA 开发与制造
制药和生物制药生产
蛋白质生物学
研究与疾病领域
水纯化系统
合同制造
合同测试
定制产品
生命科学数字解决方案
IVD 开发与制造
产品服务
支持
文件
学习中心
新建
网站教程
密理博网站合并教程
订购信息
客户支持
售后服务
技术支持
工艺解决方案相关服务
联系我们
提升网站智能化体验
常见问题
质量与法规
工具和相关 App
网上研讨会
返回
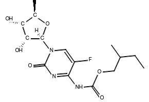
5'-Deoxy-5-fluoro-N-[(2-methylbutoxy)carbonyl]cytidine (Capecitabine Impurity)
化学文摘社编号:
910129-15-6
分子量:
359.35
Products
品牌
Leyan / Shanghai Haohong Scientific Co.,Ltd
纯度
筛选产品
Showing 1-1 of 1
比较
产品编号
说明
价格
LEYH9B0E743A
5'-Deoxy-5-fluoro-N-[(2-methylbutoxy)carbonyl]cytidine (Capecitabine Impurity),
展开
查看定价