登录 查看组织和合同定价。
选择尺寸
变更视图
关于此项目
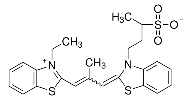
经验公式(希尔记法):
C24H26N2O4S3
化学文摘社编号:
分子量:
502.67
UNSPSC Code:
12171500
PubChem Substance ID:
MDL number:
form
solid
composition
Dye content, 90%
mp
240 °C (dec.) (lit.)
solubility
water and methanol: 1%
λmax
540 nm
application(s)
diagnostic assay manufacturing
hematology
histology
storage temp.
room temp
SMILES string
CC[n+]1c(\C=C(C)\C=C2\Sc3ccccc3N2CCC(C)S([O-])(=O)=O)sc4ccccc14
InChI
1S/C24H26N2O3S3/c1-4-25-19-9-5-7-11-21(19)30-23(25)15-17(2)16-24-26(14-13-18(3)32(27,28)29)20-10-6-8-12-22(20)31-24/h5-12,15-16,18H,4,13-14H2,1-3H3
InChI key
HHGWLRNRKVHQRS-UHFFFAOYSA-N
signalword
Warning
hcodes
Hazard Classifications
Eye Irrit. 2 - Skin Irrit. 2 - STOT SE 3
存储类别
13 - Non Combustible Solids
wgk
WGK 3
flash_point_f
Not applicable
flash_point_c
Not applicable
ppe
dust mask type N95 (US), Eyeshields, Gloves
法规信息
新产品
此项目有
