跳转至内容
Merck
CN

413038

Sodium acetylacetonate monohydrate

97%

别名:

Acetylacetone sodium derivative

登录 查看组织和合同定价。

选择尺寸


关于此项目

线性分子式:
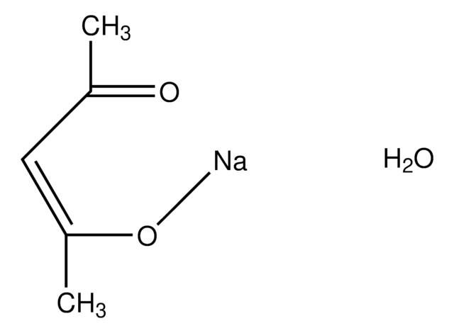
CH3COCH=C(ONa)CH3 · H2O
化学文摘社编号:
分子量:
140.11
UNSPSC Code:
12352300
MDL number:
Beilstein/REAXYS Number:
4157969
技术服务
需要帮助?我们经验丰富的科学家团队随时乐意为您服务。
让我们为您提供帮助
技术服务
需要帮助?我们经验丰富的科学家团队随时乐意为您服务。
让我们为您提供帮助

SMILES string

O.CC(=O)\C=C(\C)O[Na]

assay

97%

mp

230 °C (dec.) (lit.)

Packaging

Packaged in glass bottles

法规信息

新产品
此项目有

历史批次信息供参考:

分析证书(COA)

Lot/Batch Number

没有发现合适的版本?

如果您需要特殊版本,可通过批号或批次号查找具体证书。

已有该产品?

在文件库中查找您最近购买产品的文档。

访问文档库

我们的科学家团队拥有各种研究领域经验,包括生命科学、材料科学、化学合成、色谱、分析及许多其他领域.

联系客户支持