选择尺寸
关于此项目
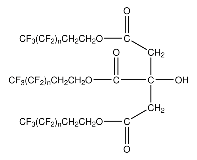
InChI
1S/C37H19F51O7/c38-14(39,17(44,45)20(50,51)23(56,57)26(62,63)29(68,69)32(74,75)35(80,81)82)1-4-93-10(89)7-13(92,8-11(90)94-5-2-15(40,41)18(46,47)21(52,53)24(58,59)27(64,65)30(70,71)33(76,77)36(83,84)85)9-12(91)95-6-3-16(42,43)19(48,49)22(54,55)25(60,61)28(66,67)31(72,73)34(78,79)37(86,87)88/h92H,1-9H2
SMILES string
OC(CC(=O)OCCC(F)(F)C(F)(F)C(F)(F)C(F)(F)C(F)(F)C(F)(F)C(F)(F)C(F)(F)F)(CC(=O)OCCC(F)(F)C(F)(F)C(F)(F)C(F)(F)C(F)(F)C(F)(F)C(F)(F)C(F)(F)F)CC(=O)OCCC(F)(F)C(F)(F)C(F)(F)C(F)(F)C(F)(F)C(F)(F)C(F)(F)C(F)(F)F
InChI key
FORWMHUYULLNCN-UHFFFAOYSA-N
mol wt
average Mn ~1,563
composition
fluorine, 63 wt. %
viscosity
10 cP(70 °C)(lit.)
mp
50-70 °C (lit.)
density
1.5 g/mL at 25 °C (lit.)
Legal Information
signalword
Danger
Hazard Classifications
Acute Tox. 4 Inhalation - Acute Tox. 4 Oral - Carc. 2 - Eye Dam. 1 - Lact. - Repr. 1B - STOT RE 1
target_organs
Liver
存储类别
6.1C - Combustible acute toxic Cat.3 / toxic compounds or compounds which causing chronic effects
wgk
WGK 3
flash_point_f
Not applicable
flash_point_c
Not applicable
法规信息
我们的科学家团队拥有各种研究领域经验,包括生命科学、材料科学、化学合成、色谱、分析及许多其他领域.
联系客户支持

