登录 查看组织和合同定价。
选择尺寸
变更视图
关于此项目
线性分子式:
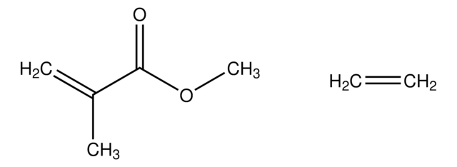
(-CH2CH2-)x[-CH2CH(CO2CH3)-]y
化学文摘社编号:
UNSPSC Code:
12162002
PubChem Substance ID:
MDL number:
form
pellets
melt index
1.8-2.6 g/10 min (190°C/2.16kg)
composition
methyl acrylate, 9 wt. %
hardness
35-40 (Shore D)
mp
93 °C
transition temp
softening point 75-80 °C (Vicat)
density
0.93 g/mL at 25 °C
SMILES string
C=C.COC(=O)C(C)=C
InChI
1S/C5H8O2.C2H4/c1-4(2)5(6)7-3;1-2/h1H2,2-3H3;1-2H2
InChI key
VKLYZBPBDRELST-UHFFFAOYSA-N
Application
Film former for upholstery, disposable gloves, flexible hoses and hospital drapes. Adhesive for extruded and co-extruded lamination and tie layers.
Tie layer for plastics, hot melt adhesives and films.
Features and Benefits
High adhesive bond strength and thermal stability. Not corrosive when compared to EVA and ionomers. Processed by all common forms of extrusion and molding methods.
More stable than EVA polymers. Promotes adhesion to plastics. Good mechanical properties at low temperatures.
Physical form
Approx. 30% crystallinity. Random copolymer.
signalword
Warning
hcodes
Hazard Classifications
Eye Irrit. 2 - Skin Irrit. 2 - STOT SE 3
存储类别
11 - Combustible Solids
wgk
WGK 3
flash_point_f
Not applicable
flash_point_c
Not applicable
ppe
dust mask type N95 (US), Eyeshields, Gloves
法规信息
新产品
此项目有
