登录 查看组织和合同定价。
选择尺寸
关于此项目
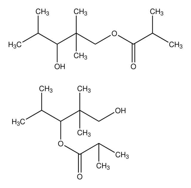
线性分子式:
(CH3)2CHCH[OH(R)]C(CH3)2CH2OR(H), R = -COCH(CH3)2
化学文摘社编号:
分子量:
432.63
UNSPSC Code:
12162002
EC Number:
246-771-9
MDL number:
SMILES string
CC(C)C(O)C(C)(C)COC(=O)C(C)C.CC(C)C(OC(=O)C(C)C)C(C)(C)CO
vapor pressure
0.01 mmHg ( 20 °C)
assay
99%
refractive index
n20/D 1.441 (lit.)
bp
244 °C (lit.)
mp
−50 °C (lit.)
density
0.95 g/mL at 25 °C (lit.)
法规信息
新产品
此项目有
我们的科学家团队拥有各种研究领域经验,包括生命科学、材料科学、化学合成、色谱、分析及许多其他领域.
联系客户支持