跳转至内容
Merck
CN

475823

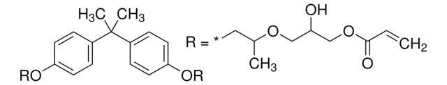
双酚 A 丙氧杂酸丙三醇双丙烯酸酯

technical grade, glycerol/phenol 1, PO/phenol 1

登录 查看组织和合同定价。

选择尺寸


关于此项目

线性分子式:
[H2C=CHCO2CH2CH(OH)CH2OCH(CH3)CH2OC6H4-4-]2C(CH3)2
化学文摘社编号:
分子量:
600.70
UNSPSC Code:
12162002
PubChem Substance ID:
MDL number:
技术服务
需要帮助?我们经验丰富的科学家团队随时乐意为您服务。
让我们为您提供帮助
技术服务
需要帮助?我们经验丰富的科学家团队随时乐意为您服务。
让我们为您提供帮助

composition

glycerol/phenol, 1 , PO/phenol, 1

SMILES string

CC(COc1ccc(cc1)C(C)(C)c2ccc(OCC(C)OCC(O)COC(=O)C=C)cc2)OCC(O)COC(=O)C=C

grade

technical grade

contains

1,000 ppm monomethyl ether hydroquinone as inhibitor

refractive index

n20/D 1.476 (lit.)

存储类别

10 - Combustible liquids

wgk

WGK 3

flash_point_f

Not applicable

flash_point_c

Not applicable

ppe

Eyeshields, Gloves

法规信息

新产品
此项目有

历史批次信息供参考:

分析证书(COA)

Lot/Batch Number

没有发现合适的版本?

如果您需要特殊版本,可通过批号或批次号查找具体证书。

已有该产品?

在文件库中查找您最近购买产品的文档。

访问文档库

我们的科学家团队拥有各种研究领域经验,包括生命科学、材料科学、化学合成、色谱、分析及许多其他领域.

联系客户支持