跳转至内容
Merck
CN

517828

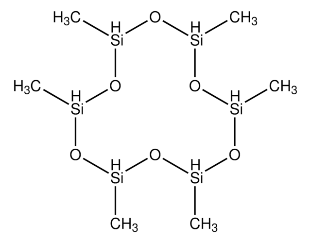
2,4,6,8,10,12-Hexamethylcyclohexasiloxane

96%

登录 查看组织和合同定价。

选择尺寸


关于此项目

线性分子式:
(CH3SiHO)6
化学文摘社编号:
分子量:
360.76
UNSPSC Code:
12352300
MDL number:
技术服务
需要帮助?我们经验丰富的科学家团队随时乐意为您服务。
让我们为您提供帮助
技术服务
需要帮助?我们经验丰富的科学家团队随时乐意为您服务。
让我们为您提供帮助

SMILES string

C[SiH]1O[SiH](C)O[SiH](C)O[SiH](C)O[SiH](C)O[SiH](C)O1

assay

96%

refractive index

n20/D 1.394 (lit.)

bp

34 °C/0.1 mmHg (lit.)

density

0.999 g/mL at 25 °C (lit.)

法规信息

新产品
此项目有

历史批次信息供参考:

分析证书(COA)

Lot/Batch Number

没有发现合适的版本?

如果您需要特殊版本,可通过批号或批次号查找具体证书。

已有该产品?

在文件库中查找您最近购买产品的文档。

访问文档库

我们的科学家团队拥有各种研究领域经验,包括生命科学、材料科学、化学合成、色谱、分析及许多其他领域.

联系客户支持