跳转至内容
Merck
CN

593974

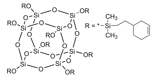
八[2-(4-环己烯基)乙基二甲基硅氧基]取代的 PSS

别名:

POSS®-八环己烯基)乙基二甲基硅氧基取代, 八环己烯基乙基二甲基硅氧基-POSS®

登录 查看组织和合同定价。

选择尺寸

变更视图

关于此项目

经验公式(希尔记法):
C80H152O20Si16
化学文摘社编号:
分子量:
1883.42
UNSPSC Code:
12162002
PubChem Substance ID:
NACRES:
NA.23
技术服务
需要帮助?我们经验丰富的科学家团队随时乐意为您服务。
让我们为您提供帮助


form

solid

mp

67-71 °C (lit.)

solubility

H2O: insoluble, THF: soluble, chloroform: soluble, toluene: soluble

SMILES string

C[Si](C)(CCC1CCC=CC1)O[Si]23O[Si]5(O[Si](C)(C)CCC4CCC=CC4)O[Si]7(O[Si](C)(C)CCC6CCC=CC6)O[Si](O[Si](C)(C)CCC8CCC=CC8)(O2)O[Si]%10(O[Si](C)(C)CCC9CCC=CC9)O[Si](O[Si](C)(C)CCC%11CCC=CC%11)(O3)O[Si](O[Si](C)(C)CCC%12CCC=CC%12)(O5)O[Si](O[Si](C)(C)CCC%13CCC=CC%13)(O7)O%10

InChI

1S/C80H152O20Si16/c1-101(2,65-57-73-41-25-17-26-42-73)81-109-89-110(82-102(3,4)66-58-74-43-27-18-28-44-74)92-113(85-105(9,10)69-61-77-49-33-21-34-50-77)94-111(90-109,83-103(5,6)67-59-75-45-29-19-30-46-75)96-115(87-107(13,14)71-63-79-53-37-23-38-54-79)97-112(91-109,84-104(7,8)68-60-76-47-31-20-32-48-76)95-114(93-110,86-106(11,12)70-62-78-51-35-22-36-52-78)99-116(98-113,100-115)88-108(15,16)72-64-80-55-39-24-40-56-80/h17-25,27,29,31,33,35,37,39,73-80H,26,28,30,32,34,36,38,40-72H2,1-16H3

InChI key

IXHDIYBXYBCKQK-UHFFFAOYSA-N

Legal Information

POSS is a registered trademark of Hybrid Plastics, Inc.


存储类别

11 - Combustible Solids

wgk

WGK 3

flash_point_f

Not applicable

flash_point_c

Not applicable

ppe

Eyeshields, Gloves, type N95 (US)



历史批次信息供参考:

分析证书(COA)

Lot/Batch Number

没有发现合适的版本?

如果您需要特殊版本,可通过批号或批次号查找具体证书。

已有该产品?

在文件库中查找您最近购买产品的文档。

访问文档库



全球贸易项目编号

货号GTIN
593974-5G04061833499450