跳转至内容
Merck
CN

607940

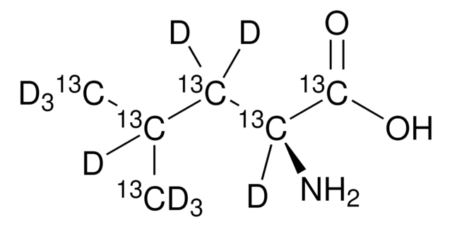
L-Leucine-13C6,d10

98 atom % D, 99 atom % 13C

登录 查看组织和合同定价。

关于此项目

线性分子式:
(13CD3)213CD13CD213CD(NH2)13CO2H
分子量:
147.19
UNSPSC Code:
12352209
PubChem Substance ID:
MDL number:
Isotopic purity:
99 atom % 13C, 98 atom % D
Mass shift:
M+16
技术服务
需要帮助?我们经验丰富的科学家团队随时乐意为您服务。
让我们为您提供帮助

InChI

1S/C6H13NO2/c1-4(2)3-5(7)6(8)9/h4-5H,3,7H2,1-2H3,(H,8,9)/t5-/m0/s1/i1+1D3,2+1D3,3+1D2,4+1D,5+1D,6+1

SMILES string

[2H][13C]([2H])([2H])[13C]([2H])([13C]([2H])([2H])[2H])[13C]([2H])([2H])[13C@]([2H])(N)[13C](O)=O

InChI key

ROHFNLRQFUQHCH-MMDPJQIISA-N

isotopic purity

99 atom % 13C, 98 atom % D

optical activity

[α]25/D +14.5°, c = 2 in 5 M HCl

technique(s)

bio NMR: suitable

mp

>300 °C (lit.)

mass shift

M+16

相关类别

General description

L-Leucine-13C6,d10 98 atom % D, 99 atom % 13C is a high-purity isotope product with a unique chemical profile that belongs to the class of isotopes. Produced by Sigma-Aldrich, we are committed to providing quality isotope products and a reliable supply chain. Available in industrial and pre-pack quantities.

Application

- High-resolution NMR spectroscopy
- Metabolomic profiling and pathway analysis
- Stable Isotope probing in Environmental microbiology
- Pharmaceutical formulation development

Features and Benefits

Features
  • High purity of L-Leucine-13C6,d10 98 atom % D, 99 atom % 13C ensures optimal performance.
  • Cost-effective solution for L-Leucine-13C6,d10 98 atom % D, 99 atom % 13C applications.
  • Versatile use in different formulations involving L-Leucine-13C6,d10 98 atom % D, 99 atom % 13C.
  • Exceptional stability and compatibility with various ingredients.


Benefits
  • Reduces time to market for products utilizing L-Leucine-13C6,d10 98 atom % D, 99 atom % 13C.
  • Enhances product efficacy and reliability in formulations.
  • Increases market competitiveness of products containing L-Leucine-13C6,d10 98 atom % D, 99 atom % 13C.
  • Improves overall product quality and consumer satisfaction.

Packaging

This product may be available from bulk stock and can be packaged on demand. For information on pricing, availability and packaging, please contact Stable Isotopes Customer Service.

历史批次信息供参考:

分析证书(COA)

Lot/Batch Number

It looks like we've run into a problem, but you can still download Certificates of Analysis from our 文件 section.

如需帮助,请联系 客户支持

已有该产品?

在文件库中查找您最近购买产品的文档。

访问文档库

我们的科学家团队拥有各种研究领域经验,包括生命科学、材料科学、化学合成、色谱、分析及许多其他领域.

联系客户支持