跳转至内容
Merck
CN

659738

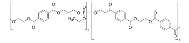
聚[1,4-双(羟乙基)对苯二甲酸酯-alt-乙氧基磷酸酯]-co-1,4-双(羟乙基)对苯二甲酸酯-co-对苯二甲酸酯

别名:

P(BHET-EOP/BHET),80/20

登录 查看组织和合同定价。

选择尺寸


关于此项目

线性分子式:
(OCH2CH2OC(O)C6H4C(O)OCH2CH2OP(O)(OCH2CH3))x(OCH2CH2OC(O)C6H4C(O)OCH2CH2OC(O)C6H4C(O))y
UNSPSC Code:
12162002
NACRES:
NA.23
MDL number:
技术服务
需要帮助?我们经验丰富的科学家团队随时乐意为您服务。
让我们为您提供帮助
技术服务
需要帮助?我们经验丰富的科学家团队随时乐意为您服务。
让我们为您提供帮助

form

solid

solubility

THF: insoluble, but swells, chloroform: soluble, hexane: insoluble, but swells

General description

P(BHET-EOP/BHET) is a biodegradable polymer.

存储类别

11 - Combustible Solids

wgk

WGK 3

flash_point_f

Not applicable

flash_point_c

Not applicable

ppe

Eyeshields, Gloves, type N95 (US)


历史批次信息供参考:

分析证书(COA)

Lot/Batch Number

没有发现合适的版本?

如果您需要特殊版本,可通过批号或批次号查找具体证书。

已有该产品?

在文件库中查找您最近购买产品的文档。

访问文档库

我们的科学家团队拥有各种研究领域经验,包括生命科学、材料科学、化学合成、色谱、分析及许多其他领域.

联系客户支持