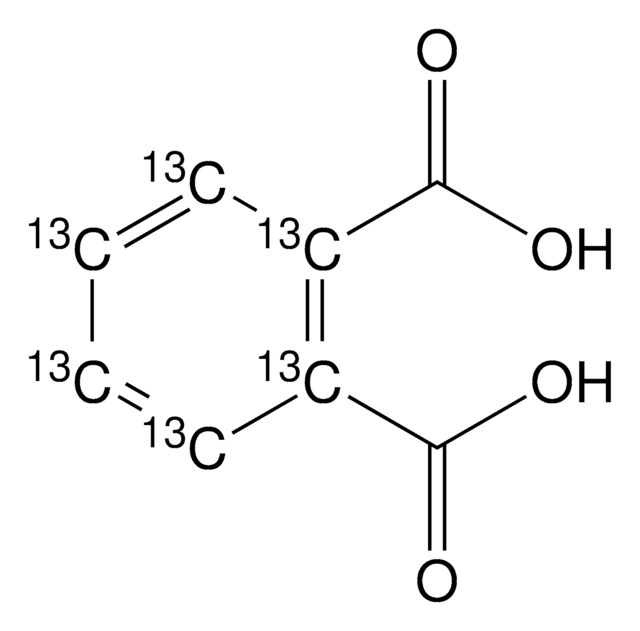
isotopic purity
99 atom % 13C
assay
97% (CP)
form
powder
mp
210-211 °C (dec) (lit.)
mass shift
M+6
SMILES string
OC(=O)[13c]1[13cH][13cH][13cH][13cH][13c]1C(O)=O
InChI
1S/C8H6O4/c9-7(10)5-3-1-2-4-6(5)8(11)12/h1-4H,(H,9,10)(H,11,12)/i1+1,2+1,3+1,4+1,5+1,6+1
InChI key
XNGIFLGASWRNHJ-IDEBNGHGSA-N
Packaging
This product may be available from bulk stock and can be packaged on demand. For information on pricing, availability and packaging, please contact Stable Isotopes Customer Service.
signalword
Warning
hcodes
Hazard Classifications
Eye Irrit. 2 - Skin Irrit. 2 - STOT SE 3
target_organs
Respiratory system
存储类别
11 - Combustible Solids
wgk
WGK 3
flash_point_f
Not applicable
flash_point_c
Not applicable
