登录 查看组织和合同定价。
选择尺寸
关于此项目
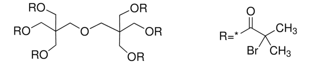
经验公式(希尔记法):
C34H52Br6O13
化学文摘社编号:
分子量:
1148.19
UNSPSC Code:
12162002
PubChem Substance ID:
MDL number:
InChI
1S/C34H52Br6O13/c1-27(2,35)21(41)48-15-33(16-49-22(42)28(3,4)36,17-50-23(43)29(5,6)37)13-47-14-34(18-51-24(44)30(7,8)38,19-52-25(45)31(9,10)39)20-53-26(46)32(11,12)40/h13-20H2,1-12H3
SMILES string
CC(C)(Br)C(=O)OCC(COCC(COC(=O)C(C)(C)Br)(COC(=O)C(C)(C)Br)COC(=O)C(C)(C)Br)(COC(=O)C(C)(C)Br)COC(=O)C(C)(C)Br
InChI key
QZIIQQIGYHRTNR-UHFFFAOYSA-N
mp
124-134 °C
Application
Atom Transfer Radical Polymerization (ATRP) initiator for the creation of hexafunctional polymers.
Polymerization will occur at six sites creating a six-arm star polymer.
Polymerization will occur at six sites creating a six-arm star polymer.
signalword
Warning
hcodes
Hazard Classifications
Eye Irrit. 2 - Skin Irrit. 2 - STOT SE 3
target_organs
Respiratory system
存储类别
11 - Combustible Solids
wgk
WGK 3
flash_point_f
Not applicable
flash_point_c
Not applicable
法规信息
新产品
此项目有
Coessens, V.; Pintauer, T.; Matyjaszewski, K.
Progress in Polymer Science, 26, 337-337 (2001)
Atom transfer radical polymerization.
K Matyjaszewski et al.
Chemical reviews, 101(9), 2921-2990 (2001-12-26)
"Green" atom transfer radical polymerization: from process design to preparation of well-defined environmentally friendly polymeric materials.
Nicolay V Tsarevsky et al.
Chemical reviews, 107(6), 2270-2299 (2007-05-29)
商品
ATRP is a successful method for precise polymer synthesis with controlled molecular weights and high chain end functionalities.
实验方案
Polymerization via ATRP procedures demonstrated by Prof. Dave Haddleton's research group at the University of Warwick.
我们的科学家团队拥有各种研究领域经验,包括生命科学、材料科学、化学合成、色谱、分析及许多其他领域.
联系客户支持