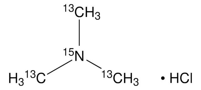
InChI
1S/C3H9N.ClH/c1-4(2)3;/h1-3H3;1H/i1+1,2+1,3+1,4+1;
SMILES string
Cl.[13CH3][15N]([13CH3])[13CH3]
InChI key
SZYJELPVAFJOGJ-UJNKEPEOSA-N
isotopic purity
99 atom % 13C, 98 atom % 15N
form
powder
mp
283-284 °C (dec) (lit.)
mass shift
M+4
相关类别
Packaging
This product may be available from bulk stock and can be packaged on demand. For information on pricing, availability and packaging, please contact Stable Isotopes Customer Service.
signalword
Warning
hcodes
Hazard Classifications
Eye Irrit. 2 - Skin Irrit. 2
存储类别
11 - Combustible Solids
wgk
WGK 1
flash_point_f
Not applicable
flash_point_c
Not applicable
Marcin Ufnal et al.
The Canadian journal of cardiology, 30(12), 1700-1705 (2014-12-06)
Recent evidence suggests that an elevated plasma trimethylamine N-oxide (TMAO) level is associated with an increased risk of adverse cardiovascular events in humans; however, the mechanism is not clear. The aims of this study were to establish the plasma TMAO
我们的科学家团队拥有各种研究领域经验,包括生命科学、材料科学、化学合成、色谱、分析及许多其他领域.
联系客户支持