登录 查看组织和合同定价。
选择尺寸
变更视图
关于此项目
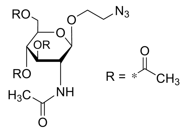
经验公式(希尔记法):
C16H24N4O9
化学文摘社编号:
分子量:
416.38
PubChem Substance ID:
UNSPSC Code:
12352200
Beilstein/REAXYS Number:
8091607
MDL number:
Quality Level
assay
≥95% (HPLC)
form
solution
concentration
~10 % (w/w) in methanol
storage temp.
2-8°C
SMILES string
CC(=O)N[C@H]1[C@H](OCCN=[N+]=[N-])O[C@H](COC(C)=O)[C@@H](OC(C)=O)[C@@H]1OC(C)=O
InChI
1S/C16H24N4O9/c1-8(21)19-13-15(28-11(4)24)14(27-10(3)23)12(7-26-9(2)22)29-16(13)25-6-5-18-20-17/h12-16H,5-7H2,1-4H3,(H,19,21)/t12-,13-,14-,15-,16-/m1/s1
InChI key
AZZGNJWMBPFQOP-OXGONZEZSA-N
signalword
Danger
hcodes
pcodes
Hazard Classifications
Flam. Liq. 2 - Skin Irrit. 2
存储类别
3 - Flammable liquids
wgk
WGK 2
flash_point_f
-27.4 °F
flash_point_c
-33 °C
法规信息
新产品
此项目有

