跳转至内容
Merck
CN

749400

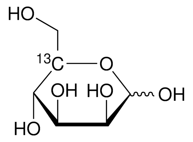
D-Mannose-5-13C

99 atom % 13C, 97% (CP)

别名:

D-Mannopyranose-5-13C

登录 查看组织和合同定价。

选择尺寸

变更视图

关于此项目

经验公式(希尔记法):
13CC5H12O6
分子量:
181.15
UNSPSC Code:
12352005
PubChem Substance ID:
MDL number:
技术服务
需要帮助?我们经验丰富的科学家团队随时乐意为您服务。
让我们为您提供帮助


isotopic purity

99 atom % 13C

assay

97% (CP)

form

solid

mp

133-140 °C (lit.)

mass shift

M+1

SMILES string

OC[13C@H]1OC(O)[C@@H](O)[C@@H](O)[C@@H]1O

InChI

1S/C6H12O6/c7-1-2-3(8)4(9)5(10)6(11)12-2/h2-11H,1H2/t2-,3-,4+,5+,6?/m1/s1/i2+1

InChI key

WQZGKKKJIJFFOK-WVCXOGGPSA-N

Packaging

This product may be available from bulk stock and can be packaged on demand. For information on pricing, availability and packaging, please contact Stable Isotopes Customer Service.


存储类别

11 - Combustible Solids

wgk

WGK 3

flash_point_f

Not applicable

flash_point_c

Not applicable



历史批次信息供参考:

分析证书(COA)

Lot/Batch Number

没有发现合适的版本?

如果您需要特殊版本,可通过批号或批次号查找具体证书。

已有该产品?

在文件库中查找您最近购买产品的文档。

访问文档库