跳转至内容
Merck
CN

749966

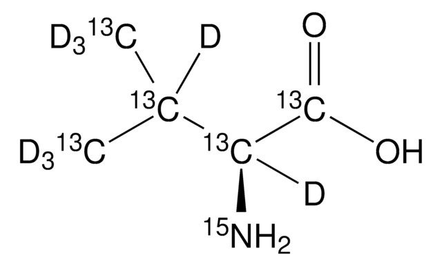
L-Valine-13C5,15N,2,3,4,4,4-d5-(4-methyl-d3)

98 atom % D, 99 atom % 13C, 98 atom % 15N, 95% (CP)

别名:

(S)-α-Aminovaleric acid-13C5,15N,2,3,3,4,4,4-d5,4-methyl-d3, L-2-Amino-3-methylbutanoic acid-13C5,15N,2,3,3,4,4,4-d5,4-methyl-d3

登录 查看组织和合同定价。

关于此项目

线性分子式:
(13CD3)213CD13CD(15NH2)13COOH
分子量:
131.15
PubChem Substance ID:
UNSPSC Code:
12352116
Isotopic purity:
99 atom % 13C, 98 atom % 15N, 98 atom % D
Assay:
95% (CP)
Mass shift:
M+14
Form:
solid
技术服务
需要帮助?我们经验丰富的科学家团队随时乐意为您服务。
让我们为您提供帮助

InChI

1S/C5H11NO2/c1-3(2)4(6)5(7)8/h3-4H,6H2,1-2H3,(H,7,8)/t4-/m0/s1/i1+1D3,2+1D3,3+1D,4+1D,5+1,6+1

InChI key

KZSNJWFQEVHDMF-BJZWQILWSA-N

SMILES string

O[13C]([13C@]([15NH2])([2H])[13C]([2H])([13C]([2H])([2H])[2H])[13C]([2H])([2H])[2H])=O

isotopic purity

99 atom % 13C, 98 atom % 15N, 98 atom % D

assay

95% (CP)

form

solid

technique(s)

bio NMR: suitable

mp

295-300 °C (subl) (lit.)

mass shift

M+14

相关类别

Packaging

This product may be available from bulk stock and can be packaged on demand. For information on pricing, availability and packaging, please contact Stable Isotopes Customer Service.

存储类别

11 - Combustible Solids

wgk

WGK 1

flash_point_f

Not applicable

flash_point_c

Not applicable


历史批次信息供参考:

分析证书(COA)

Lot/Batch Number

没有发现合适的版本?

如果您需要特殊版本,可通过批号或批次号查找具体证书。

已有该产品?

在文件库中查找您最近购买产品的文档。

访问文档库

我们的科学家团队拥有各种研究领域经验,包括生命科学、材料科学、化学合成、色谱、分析及许多其他领域.

联系客户支持