763101
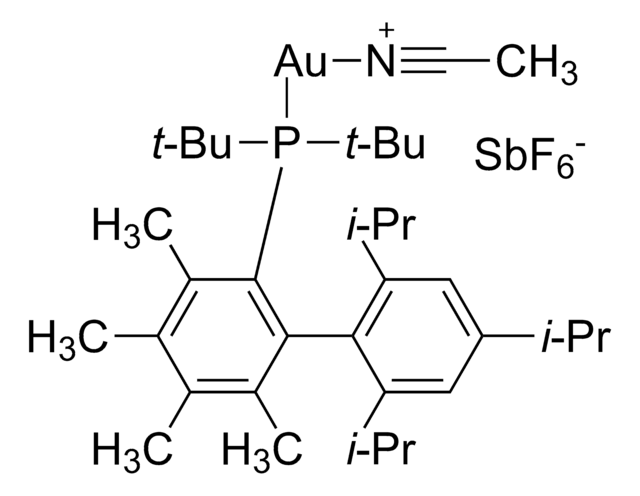
(Acetonitrile)[(2-di-tert-butylphosphino-3,4,5,6-tetramethyl)-2′,4′,6′-triisopropylbiphenyl]gold(I) hexafluoroantimonate
别名:
Me4-tert-butyl XPhos-AuMeCN SbF6
登录查看公司和协议定价
选择尺寸
关于此项目
经验公式(希尔记法):
C35H56AuF6NPSb
化学文摘社编号:
分子量:
954.52
MDL编号:
UNSPSC代码:
12352300
PubChem化学物质编号:
表单
solid
反应适用性
core: gold
reagent type: catalyst
杂质
<5% Chloroform
mp
200-217 °C (decomposition)
SMILES字符串
CC#[N+][Au].F[Sb-](F)(F)(F)(F)F.CC(C)c1cc(C(C)C)c(c(c1)C(C)C)-c2c(C)c(C)c(C)c(C)c2P(C(C)(C)C)C(C)(C)C
InChI
1S/C33H53P.C2H3N.Au.6FH.Sb/c1-19(2)26-17-27(20(3)4)30(28(18-26)21(5)6)29-24(9)22(7)23(8)25(10)31(29)34(32(11,12)13)33(14,15)16;1-2-3;;;;;;;;/h17-21H,1-16H3;1H3;;6*1H;/q;;+1;;;;;;;+5/p-6
InChI key
RYAHVCSWEWNLIW-UHFFFAOYSA-H
应用
Effective gold catalyst for selective 6-endo dig carbocyclizations.
警示用语:
Warning
危险声明
预防措施声明
危险分类
Carc. 2 - Repr. 2 - STOT RE 2
储存分类代码
11 - Combustible Solids
WGK
WGK 3
闪点(°F)
Not applicable
闪点(°C)
Not applicable
法规信息
新产品
此项目有
Francis Barabé et al.
Organic letters, 13(20), 5580-5583 (2011-09-16)
A gold-catalyzed synthesis of fused carbocycles via a regioselective 6-endo dig process is reported. The selectivity can be modulated by the steric and electronic properties of gold(I) complexes. The ligands can influence the pathway selectivity for the first bond formation
我们的科学家团队拥有各种研究领域经验,包括生命科学、材料科学、化学合成、色谱、分析及许多其他领域.
联系客户支持