跳转至内容
Merck
CN

767166

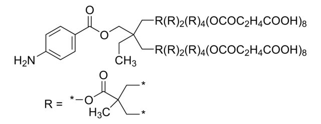
Polyester bis-MPA dendron, 16 carboxyl, 1 amine

generation 4

别名:

bisMPA dendrimer, bisMPA dendron

登录 查看组织和合同定价。

选择尺寸


关于此项目

UNSPSC Code:
12162002
PubChem Substance ID:
NACRES:
NA.23
技术服务
需要帮助?我们经验丰富的科学家团队随时乐意为您服务。
让我们为您提供帮助
技术服务
需要帮助?我们经验丰富的科学家团队随时乐意为您服务。
让我们为您提供帮助

InChI

1S/C147H195NO94/c1-16-147(81-228-118(197)84-17-19-85(148)20-18-84,82-241-131(210)145(14,77-237-127(206)141(10,69-229-119(198)133(2,53-212-102(181)37-21-86(149)150)54-213-103(182)38-22-87(151)152)70-230-120(199)134(3,55-214-104(183)39-23-88(153)154)56-215-105(184)40-24-89(155)156)78-238-128(207)142(11,71-231-121(200)135(4,57-216-106(185)41-25-90(157)158)58-217-107(186)42-26-91(159)160)72-232-122(201)136(5,59-218-108(187)43-27-92(161)162)60-219-109(188)44-28-93(163)164)83-242-132(211)146(15,79-239-129(208)143(12,73-233-123(202)137(6,61-220-110(189)45-29-94(165)166)62-221-111(190)46-30-95(167)168)74-234-124(203)138(7,63-222-112(191)47-31-96(169)170)64-223-113(192)48-32-97(171)172)80-240-130(209)144(13,75-235-125(204)139(8,65-224-114(193)49-33-98(173)174)66-225-115(194)50-34-99(175)176)76-236-126(205)140(9,67-226-116(195)51-35-100(177)178)68-227-117(196)52-36-101(179)180/h17-20H,16,21-83,148H2,1-15H3,(H,149,150)(H,151,152)(H,153,154)(H,155,156)(H,157,158)(H,159,160)(H,161,162)(H,163,164)(H,165,166)(H,167,168)(H,169,170)(H,171,172)(H,173,174)(H,175,176)(H,177,178)(H,179,180)

InChI key

JTLTWQVZAUYNJV-UHFFFAOYSA-N

description

carboxyl surface groups

form

solid

mol wt

generation 4

feature

focal point amine

no. Surface Groups

16

storage temp.

−20°C

General description

calculated mol. wt. 3480.1

Application

Amine dendrons can be covalently attached through conjugation to carboxyl groups, primary amines, or sulfhydryl groups. Amines can also attach to oxidized carbohydrate groups (usually aldehydes) by reductive amination.

Other Notes

Bis-MPA = 2,2-Bis(hydroxyl-methyl)propionic acid

Legal Information

Manufactured by Polymer Factory Sweden AB

存储类别

11 - Combustible Solids

wgk

WGK 3

flash_point_f

No data available

flash_point_c

No data available

法规信息

新产品
此项目有

历史批次信息供参考:

分析证书(COA)

Lot/Batch Number

没有发现合适的版本?

如果您需要特殊版本,可通过批号或批次号查找具体证书。

已有该产品?

在文件库中查找您最近购买产品的文档。

访问文档库

我们的科学家团队拥有各种研究领域经验,包括生命科学、材料科学、化学合成、色谱、分析及许多其他领域.

联系客户支持