跳转至内容
Merck
CN

901374

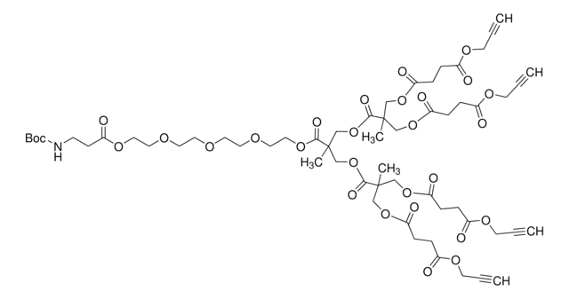
Polyester bis-MPA dendron

no. Surface Groups 4, acetylene, 1 NHBoc (core), generation 2

别名:

Bis-MPA dendron, PFd-G2-BOCNH-Acetylene

登录 查看组织和合同定价。

选择尺寸


关于此项目

经验公式(希尔记法):
C59H79NO29
分子量:
1266.25
NACRES:
NA.23
UNSPSC Code:
12162002
技术服务
需要帮助?我们经验丰富的科学家团队随时乐意为您服务。
让我们为您提供帮助
技术服务
需要帮助?我们经验丰富的科学家团队随时乐意为您服务。
让我们为您提供帮助

form

solid

mol wt

generation 2

no. Surface Groups

4

color

white to off-white

storage temp.

−20°C

General description

  • Polymer architecture: Dendron
  • Generation: 2
  • Core functional group: Boc-protected amine
  • End Group Functionality: Alkyne
  • No. Surface Groups: 4
  • Calculated Mol. Wt.: 1266.26 g/mol
  • Boc : tert-Butyloxycarbonyl
  • Bis-MPA : 2,2-Bis(hydroxymethyl)propionic acid

Application

Bis-MPA (or 2,2-Bis(methylol)propionic acid) is an aliphatic, pro-chiral molecule comprised of two hydroxyls and one carboxylic group that has been used in the synthesis of many different types of polymers. Dendrons synthesized from Bis-MPA are biodegradable and have low cytotoxicity, making them well suited for use in biological research applications. These materials have been used in many applications such as signal amplification in bioassays and in drug delivery applications. These alkyne-functionalized dendrimers can be readily functionalized using either copper(I)-catalysed alkyne-azide cycloaddition (CuAAC), strain-promoted alkyne-azide cycloaddition (SPAAC), or thiol-yne click reactions. Additionally, the amine-functionalized core can be readily used in EDC or DCC coupling reactions (after Boc deprotection) with carbonyl-containing compounds to yield highly functionalized materials for a variety of biomedical applications.

存储类别

11 - Combustible Solids

wgk

WGK 3

flash_point_f

Not applicable

flash_point_c

Not applicable

法规信息

新产品
此项目有

历史批次信息供参考:

分析证书(COA)

Lot/Batch Number

It looks like we've run into a problem, but you can still download Certificates of Analysis from our 文件 section.

如需帮助,请联系 客户支持

已有该产品?

在文件库中查找您最近购买产品的文档。

访问文档库

Anna Carlmark et al.
Chemical Society reviews, 42(13), 5858-5879 (2013-05-01)
Dendritic polymers are highly branched, globular architectures with multiple representations of functional groups. These nanoscale organic frameworks continue to fascinate researchers worldwide and are today under intensive investigation in application-driven research. A large number of potential application areas have been

商品

Dendritic molecules' biomedical applications, particularly bis-MPA dendritic scaffolds, hold promise for drug delivery.

Dendrimers, polymer nanostructures, are synthesized for specific purposes by manipulating critical nanoscale design parameters (CNDPs).

我们的科学家团队拥有各种研究领域经验,包括生命科学、材料科学、化学合成、色谱、分析及许多其他领域.

联系客户支持