跳转至内容
Merck
CN

JKA8013

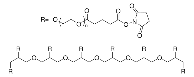
8arm-PEG10K-Succinimidyl Glutarate

Hexaglycerol core, average Mn 10000

登录 查看组织和合同定价。

选择尺寸


关于此项目

线性分子式:
R(O(CH2CH2O)nCOCH2CH2CH2COOC4H4O2N)8
NACRES:
NA.23
UNSPSC Code:
12352200
技术服务
需要帮助?我们经验丰富的科学家团队随时乐意为您服务。
让我们为您提供帮助
技术服务
需要帮助?我们经验丰富的科学家团队随时乐意为您服务。
让我们为您提供帮助

form

solid

mol wt

average Mn 10000

storage temp.

−20°C

正在寻找类似产品? 访问 产品对比指南

Application

Applications may include: bioconjugation, drug delivery, PEG hydrogel, crosslinker, and surface functionalization

Legal Information

Product of JenKem Technology

存储类别

11 - Combustible Solids

wgk

WGK 3

flash_point_f

Not applicable

flash_point_c

Not applicable

法规信息

新产品
此项目有

历史批次信息供参考:

分析证书(COA)

Lot/Batch Number

It looks like we've run into a problem, but you can still download Certificates of Analysis from our 文件 section.

如需帮助,请联系 客户支持

已有该产品?

在文件库中查找您最近购买产品的文档。

访问文档库

Tong, X. and F. Yang
Biomaterials, 35(6) (2014)

我们的科学家团队拥有各种研究领域经验,包括生命科学、材料科学、化学合成、色谱、分析及许多其他领域.

联系客户支持