跳转至内容
Merck
CN

QBD11597

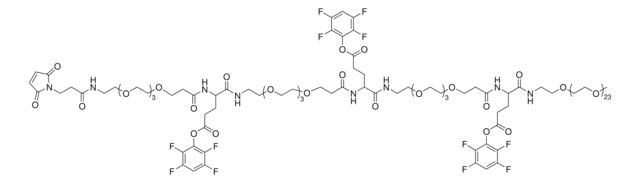
MAL-[NH-dPEG®4-Glu(TFP ester)]3-NH-m-dPEG®24

>90% (HPLC)

别名:

MAL-[NH-PEG4-Glu(TFP ester)]3-NH-m-PEG24, Sidewinder TFP-PEG-maleimide

登录 查看组织和合同定价。

选择尺寸


关于此项目

经验公式(希尔记法):
C122H190F12N8O51
分子量:
2812.82
UNSPSC Code:
12352200
Assay:
>90% (HPLC)
Form:
solid or viscous liquid
技术服务
需要帮助?我们经验丰富的科学家团队随时乐意为您服务。
让我们为您提供帮助
技术服务
需要帮助?我们经验丰富的科学家团队随时乐意为您服务。
让我们为您提供帮助

assay

>90% (HPLC)

form

solid or viscous liquid

reaction suitability

reaction type: Pegylations

polymer architecture

shape: Y-shape
functionality: heterobifunctional

shipped in

ambient

storage temp.

−20°C

Features and Benefits

MAL-[NH-dPEG4-Glu(TFP ester)]3-NH-m-dPEG24 is a novel, patent-pending Sidewinder product from Quanta BioDesign that permits attachment of hydrophobic groups on the sidearms of three glutamic acid moieties. Short hydrophilic spacers separate the three glutamates, and a long hydrophilic dPEG unit terminates the construct. A sulfhydryl-reactive maleimide group provides an attachment point for the construct to another molecule, such as a protein or peptide. Tetrafluorophenyl esters functionalize the three glutamate units along the Sidewinder backbone.

Legal Information

Products Protected under U.S. Patent #s 7,888,536 & 8,637,711 and European Patent #s 1,594,440 & 2,750,681
Sidewinder is a trademark of Quanta BioDesign
dPEG is a registered trademark of Quanta BioDesign

存储类别

11 - Combustible Solids

wgk

WGK 3

flash_point_f

Not applicable

flash_point_c

Not applicable

法规信息

新产品
此项目有

历史批次信息供参考:

分析证书(COA)

Lot/Batch Number

It looks like we've run into a problem, but you can still download Certificates of Analysis from our 文件 section.

如需帮助,请联系 客户支持

已有该产品?

在文件库中查找您最近购买产品的文档。

访问文档库

我们的科学家团队拥有各种研究领域经验,包括生命科学、材料科学、化学合成、色谱、分析及许多其他领域.

联系客户支持