跳转至内容
Merck
CN

841199P

Avanti

E. coli CA

Avanti Research - A Croda Brand

别名:

Cardiolipin (E. coli) (sodium salt)

登录 查看公司和协议定价

选择尺寸


关于此项目

化学文摘社编号:
UNSPSC代码:
12352211
技术服务
需要帮助?我们经验丰富的科学家团队随时乐意为您服务。
让我们为您提供帮助
技术服务
需要帮助?我们经验丰富的科学家团队随时乐意为您服务。
让我们为您提供帮助

产品名称

E. coli CA, Avanti Research - A Croda Brand 841199P, powder

方案

>99% (TLC)

表单

powder

包装

pkg of 1 × 10 mg (841199P-10mg)

制造商/商品名称

Avanti Research - A Croda Brand 841199P

运输

dry ice

储存温度

−20°C

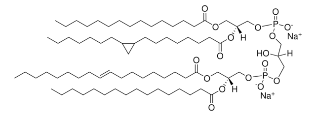
SMILES字符串

O=P([O-])(OC[C@]([H])(OC(CCCCCCCC1C(C1)CCCCCCC)=O)COC(CCCCCCCCCCCCCC)=O)OCC([H])(O)COP([O-])(OC[C@]([H])(OC(CCCCCCCCCCCCCCC)=O)COC(CCCCCCC/C=C/CCCCCCCC)=O)=O.[Na+].[Na+]

一般描述

Cardiolipin is the most important phospholipid of mitochondria. E.coli membrane consists 5-10% of cardiolipin. Cardiolipin is a non-bilayer anionic phospholipid, which has four acyl chains and small headgroup.

应用

E. coli CA has been used for western blotting. It has also been used for lipid monolayer assay.

生化/生理作用

Cardiolipin plays a major role in the dynamic organization of membranes and in cell division. It is implicated in proton uptake pathway.

包装

5 mL Clear Glass Sealed Ampule (841199P-10mg)

法律信息

Avanti Research is a trademark of Avanti Polar Lipids, LLC

储存分类代码

13 - Non Combustible Solids

WGK

WGK 3

闪点(°F)

No data available

闪点(°C)

No data available


历史批次信息供参考:

分析证书(COA)

Lot/Batch Number

It looks like we've run into a problem, but you can still download Certificates of Analysis from our 文件 section.

如需帮助,请联系 客户支持

已有该产品?

在文件库中查找您最近购买产品的文档。

访问文档库

Hydrobiologia, 104(3), 472-486 (2018)
Exclusion of assembled M re B by anionic phospholipids at cell poles confers cell polarity for bidirectional growth
Kawazura T, et al.
Molecular Microbiology, 104(3), 472-486 (2017)
Mikhail Bogdanov et al.
Proceedings of the National Academy of Sciences of the United States of America, 107(34), 15057-15062 (2010-08-11)
Phosphatidylcholine (PC) has been widely used in place of naturally occurring phosphatidylethanolamine (PE) in reconstitution of bacterial membrane proteins. However, PC does not support native structure or function for several reconstituted transport proteins. Lactose permease (LacY) of Escherichia coli, when
Javier Hoyo et al.
General physiology and biophysics, 39(2), 195-202 (2020-04-25)
The current strategies to eradicate bacteria require that the antimicrobial agent either penetrate or disrupt the bacterial membrane. In Escherichia coli (E.coli) as a model of Gram-negative strains, the antimicrobials have to cross two barriers - the outer and the
Functional role of cardiolipin in mitochondrial bioenergetics
Paradies G, et al.
Biochimica et Biophysica Acta - Bioenergetics, 1837(4), 408-417 (2014)

我们的科学家团队拥有各种研究领域经验,包括生命科学、材料科学、化学合成、色谱、分析及许多其他领域.

联系客户支持