biological source
mouse
conjugate
unconjugated
antibody form
purified antibody
antibody product type
primary antibodies
clone
308/3-3, monoclonal
species reactivity
human
should not react with
rat, mouse
technique(s)
ELISA: suitable, flow cytometry: suitable, immunoprecipitation (IP): suitable, western blot: suitable
isotype
IgG1κ
NCBI accession no.
UniProt accession no.
target post-translational modification
unmodified
Quality Level
Gene Information
human ... CEACAM5(1048)
General description
Carcinoembryonic antigen-related cell adhesion molecule 3 (UniProt P40198; also known as Carcinoembryonic antigen CGM1, CD66d) is encoded by the CEACAM3 (also known as CD66D, CGM1) gene (Gene ID 1084) in human. The carcinoembryonic antigen- (CEA-) related cell adhesion molecules (CEACAMs) constitute a 12-member subgroup of the CEA family of immunoglobulin-related proteins first described in 1965 (PMID 4953873). CEACAMs are reported to participate in diverse physiological processes, including cell adhesion, differentiation, proliferation, and survival, as well as in carcinogenesis and bacterial pathogenesis. CEACAM molecules from neighbouring cells can interact via their respective extracellular N-terminal IgV-like domain and mediate cell-to-cell adhesion through trans-oligomerization. CEACAM molecules within the same cell can also undergo transmembrane domain-mediated cis-oligomerization, an event important for sustaining downstream cellular signaling. Athough CEACAM1 is shown to utilize its cytoplasmic domain for transducing cellular signaling, not all CEACAM members are expressed with a significant cytoplasmic domain, and others (CEACAM5/6/7/8) are GPI-anchored without even a transmembrane domain. Human CEACAM3 and CEACAM4 are two CEACAMs whose extracellular region is composed of only one V-type Ig-like extracellular domain (a.a. 35-142 of CEACAM3). Human CEACAM5 (UniProt P06731), on the other hand, is a GPI-anchored CEACAM with the most extracellular Ig domains, 7 in all.
~30/180 kDa (CEACAM3/CEACAM5) observed. 27.09/19.40/22.75 kDa (human CEACAM3 isoform CGM1A/CGM1B/CGM1C) and 76.80/76.72 kDa (human CEACAM5 isoform 1/2) calculated. Target bands appear smeary and larger than the calculated molecular weights due to glycosylation. Uncharacterized band(s) may appear in some lysates.
Immunogen
Epitope: Extracellular domain.
Human IgG1 Fc-tagged recombinant human CEACAM3 extracellular domain.
Application
Anti-CEACAM Antibody, clone 308/3-3 is an antibody against CEACAM3/5 for use in Western Blotting, ELISA, Flow Cytometry, Immunoprecipitation.
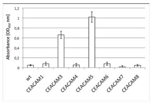
ELISA Analysis: 10 μg/mL from a representative lot detected CHO cell-expressed full-length glycosylated human CEACAM3 and CEACAM5, but not CEACAM1 (CEACAM1-4L), CEACAM4, CEACAM6, CEACAM7, or CEACAM8 (Courtesy of Dr. Bernhard B. Singer, University of Duisburg-Essen, Germany).
Flow Cytometry Analysis: 10 μg/mL from a representative lot immunostained CHO cell transfectants expressing human CEACAM3 and CEACAM5, but not CHO cells expressing human CEACAM1 (CEACAM1-4L), CEACAM4, CEACAM6, CEACAM7, or CEACAM8 (Courtesy of Dr. Bernhard B. Singer, University of Duisburg-Essen, Germany).
Immunoprecipitation Analysis: 5 μg from a representative lot immunoprecipitated exogenously expressed full-length glycosylated human CEACAM5 from 500 μg of lysate (in 600 μL) from transfected HeLa cells (Courtesy of Dr. Bernhard B. Singer, University of Duisburg-Essen, Germany).
Western Blotting Analysis: 10 μg/mL from a representative lot detected exogenously expressed full-length glycosylated human CEACAM5 in 50 μg of lysate from transfected HeLa cells (Courtesy of Dr. Bernhard B. Singer, University of Duisburg-Essen, Germany).
Flow Cytometry Analysis: 10 μg/mL from a representative lot immunostained CHO cell transfectants expressing human CEACAM3 and CEACAM5, but not CHO cells expressing human CEACAM1 (CEACAM1-4L), CEACAM4, CEACAM6, CEACAM7, or CEACAM8 (Courtesy of Dr. Bernhard B. Singer, University of Duisburg-Essen, Germany).
Immunoprecipitation Analysis: 5 μg from a representative lot immunoprecipitated exogenously expressed full-length glycosylated human CEACAM5 from 500 μg of lysate (in 600 μL) from transfected HeLa cells (Courtesy of Dr. Bernhard B. Singer, University of Duisburg-Essen, Germany).
Western Blotting Analysis: 10 μg/mL from a representative lot detected exogenously expressed full-length glycosylated human CEACAM5 in 50 μg of lysate from transfected HeLa cells (Courtesy of Dr. Bernhard B. Singer, University of Duisburg-Essen, Germany).
Research Category
Cell Structure
Cell Structure
Research Sub Category
Adhesion (CAMs)
Adhesion (CAMs)
Biochem/physiol Actions
Clone 308/3-3 reacts with human CEACAM3 and CEACAM5, but not human CEACAM1/4/6/7/8, rat CEACAM1, or mouse CEACAM1 & CEACAM2.
Physical form
Purified mouse monoclonal IgG1κ in buffer containing 0.1 M Tris-Glycine (pH 7.4), 150 mM NaCl with 0.05% sodium azide.
Format: Purified
Protein G Purified
Preparation Note
Stable for 1 year at 2-8°C from date of receipt.
Analysis Note
Evaluated by Western Blotting Analysis in lysates of CEACAM3 & CEACAM5 transfected CHO cells.
Western Blotting Analysis: 2.0 μg/mL of this antibody detected exogenously expressed full-length glycosylated human CEACAM3 and CEACAM5 in 10 μg of lysates from transfected CHO cells.
Western Blotting Analysis: 2.0 μg/mL of this antibody detected exogenously expressed full-length glycosylated human CEACAM3 and CEACAM5 in 10 μg of lysates from transfected CHO cells.
Other Notes
Concentration: Please refer to lot specific datasheet.
Disclaimer
Unless otherwise stated in our catalog or other company documentation accompanying the product(s), our products are intended for research use only and are not to be used for any other purpose, which includes but is not limited to, unauthorized commercial uses, in vitro diagnostic uses, ex vivo or in vivo therapeutic uses or any type of consumption or application to humans or animals.
未找到合适的产品?
试试我们的产品选型工具.
存储类别
12 - Non Combustible Liquids
wgk
WGK 1
flash_point_f
Not applicable
flash_point_c
Not applicable
我们的科学家团队拥有各种研究领域经验,包括生命科学、材料科学、化学合成、色谱、分析及许多其他领域.
联系客户支持