跳转至内容
Merck
CN

09865

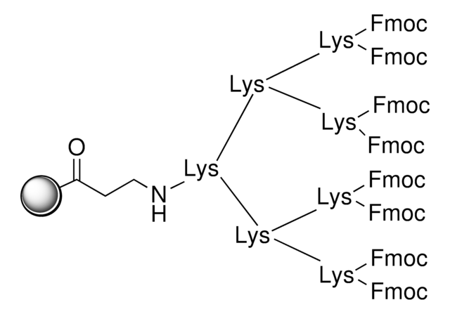
Fmoc-Lys(Fmoc)-Lys[Fmoc-Lys(Fmoc)]-Lys{Fmoc-Lys(Fmoc)-Lys[Fmoc-Lys(Fmoc)]}-β-Ala-O-王氏树脂

extent of labeling: ~0.8 mmol/g total N loading

登录 查看组织和合同定价。

选择尺寸

变更视图

关于此项目

UNSPSC Code:
12352200
PubChem Substance ID:
NACRES:
NA.26
MDL number:
技术服务
需要帮助?我们经验丰富的科学家团队随时乐意为您服务。
让我们为您提供帮助


extent of labeling

~0.8 mmol/g total N loading

Quality Level

matrix

crosslinked with 1% DVB

particle size

200-400 mesh

application(s)

peptide synthesis

storage temp.

2-8°C

Other Notes

用于合成多抗原肽 (MAP) 的树脂键合八支链核


存储类别

13 - Non Combustible Solids

wgk

WGK 3

flash_point_f

Not applicable

flash_point_c

Not applicable

ppe

Eyeshields, Gloves, type N95 (US)

法规信息

新产品

此项目有



历史批次信息供参考:

分析证书(COA)

Lot/Batch Number

It looks like we've run into a problem, but you can still download Certificates of Analysis from our 文件 section.

如需帮助,请联系 客户支持

已有该产品?

在文件库中查找您最近购买产品的文档。

访问文档库



J P Tam
Proceedings of the National Academy of Sciences of the United States of America, 85(15), 5409-5413 (1988-08-01)
A convenient and versatile approach to the direct synthesis of a peptide-antigen matrix by the solid-phase method is described. The approach is called the multiple antigen peptide system (MAP) and it utilizes a simple scaffolding of a low number of
D N Posnett et al.
The Journal of biological chemistry, 263(4), 1719-1725 (1988-02-05)
Peptide antigens used to generate site-specific antibodies to proteins are of interest in the development of vaccines. The need to conjugate them to a carrier protein for optimal immunogenicity results in a number of problems including a possible immune response



全球贸易项目编号

货号GTIN
414476-50ML04061836692261
414476-10ML04061836692254